Предмет: Алгебра,
автор: bobkovaleksand1
найдите значение выражения (5/9-1/6)*(5/14+2/7)
Ответы
Автор ответа:
2
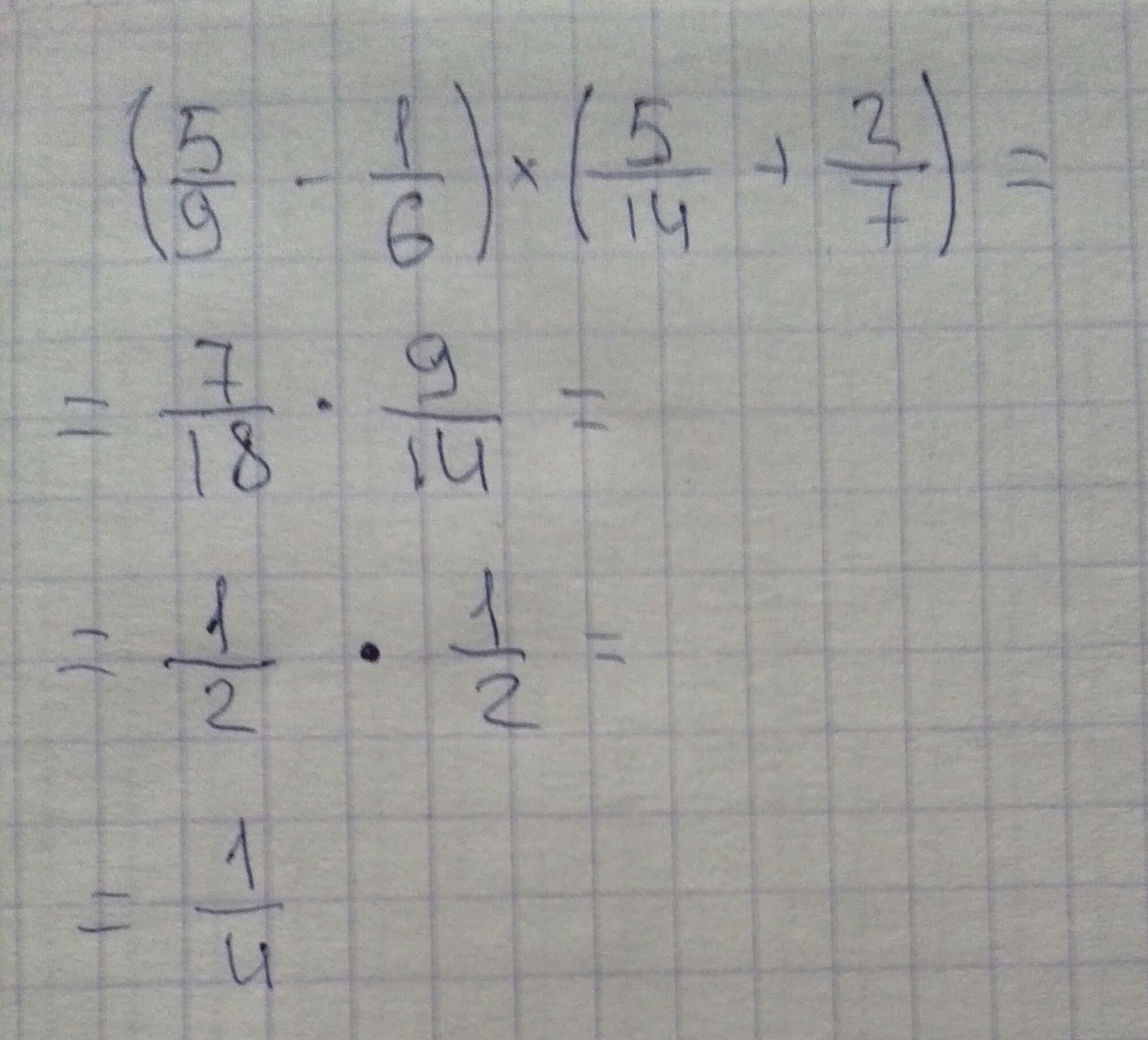
(5/9 - 1/6) ·(5/14 + 2/7)
= ?
1) 5/9 - 1/6 = 10/18 - 3/18 = 7/18
2) 5/14 + 2/7 = 5/14 + 4/14 = 9/14
3) 7/18 · 9/14 = 1/4
Ответ: 1/4
1) 5/9 - 1/6 = 10/18 - 3/18 = 7/18
2) 5/14 + 2/7 = 5/14 + 4/14 = 9/14
3) 7/18 · 9/14 = 1/4
Ответ: 1/4
Автор ответа:
2
если не понятно, могу подробно расписать.
удачи!
удачи!
Приложения:
Похожие вопросы
Предмет: География,
автор: FR13NDSR4
Предмет: Математика,
автор: dembaevamir12
Предмет: Физика,
автор: tyomamelnik30
Предмет: Математика,
автор: ксюня115
Предмет: Математика,
автор: кристина782