Предмет: Математика, автор: ButSC

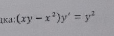
Помогите решить пример по вышмату

Приложения:

Ответы

Автор ответа: HSS9860
1
Рассмотрите предложенный вариант, если возможно, то ответ упростите.
Приложения:
Похожие вопросы
Предмет: Қазақ тiлi, автор: arynovab76
пожалуйста сделаете пересказ на казахском, можете и кратка написать❤️СКАЗКА "САПОЖНИК"
В старину жил один бедный сапожник. У него было много детей. Сапожник работал от зари до зари, не разгибая спины, но его заработка хватало лишь на то, чтобы один раз покормить своих детей. Когда не было работы в ауле, сапожник брал на плечи свой ящичек с шилом и гвоздями и отправлялся в соседние аулы.
Шел однажды сапожник в дальний аул. Дорога была незнакомая, и сапожник заблудился.
Долго шел он, устал. Наконецна пути ему повстречался дом. Сапожник постучал в окно, но ему никто не ответил. Тогда он вошел. Дом оказался пуст.
– Что ж, переночую, а завтра со свежими силами снова в путь, – сказал сам себе сапожник и расположился на ночлег.
Среди ночи послышался сильный шум и грохот. Сапожник поднял голову и увидел: втискивается в дверь огромное чудовище. На лбу у него сверкает один-единственный глаз. Это был дяу-великан.
– Кто в моем доме? – заревел дяу страшным голосом.
– Я, сапожник.
– Что ты умеешь делать?
– Я шью сапоги, – ответил сапожник.
– А, это хорошо. Как раз у меня сапоги износились. Спи, а утром будешь работать.
Сказав так, великан лег у самого порога и сразу же захрапел.
Лежит сапожник, притворился спящим, а сам думает:
«Кончилась моя жизнь. Если я умру, то и дети мои умрут от голода».
Мало-помалу страх прошел, и сапожник стал думать, как спастись ему от великана. Долго думал он и наконец придумал убить дяу. Взял он в руки свой острый сапожный нож, подошел тихонько к спящему великану и со всего размаху воткнул его в глаз чудовища.
Великан дико взревел от страшной боли и, ослепленный, стал метаться по комнате, раскинув руки, чтобы поймать своего врага.
Сапожник незаметно проскользнул на улицу и был таков.
Когда настало утро, запечалился сапожник.
– Что же я буду делать без ящика, без него я как без рук – не смогу работать.
Горевал, горевал, да и вернулся в дом великана за своим ящиком. В доме была тишина. Вошел сапожник, видит:! растянулся среди комнаты великан и не дышит. Осмелел он, стал рассматривать при свете хозяйство дяу и нашел сундук, полный золота. Сапожник от радости забыл про свой ящик, поднял кое-как сундук с золотом на плечи и пошел домой.
С тех пор семья сапожника не знала бедности.​​
Предмет: Геометрия, автор: Spiwe