Предмет: Алгебра,
автор: Enazar
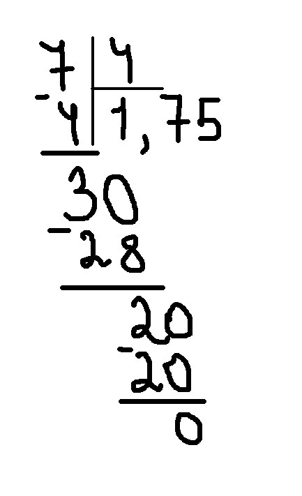
Ребята, как разделить 7 на 4 чтобы получилось 1,75??
Ответы
Автор ответа:
2
Так как 3:4=0,75
Автор ответа:
1
В столбик можно посчитать.
Приложения:
Похожие вопросы
Предмет: Математика,
автор: sofasofa36631221
Предмет: Английский язык,
автор: sldavdking
Предмет: Математика,
автор: waysm82
Предмет: Алгебра,
автор: ilya9cl
Предмет: Математика,
автор: mrromchinkov