Предмет: Геометрия,
автор: msolesya1
помогите пожалуйста, очень надо! заранее спасибо
Приложения:
Ответы
Автор ответа:
1
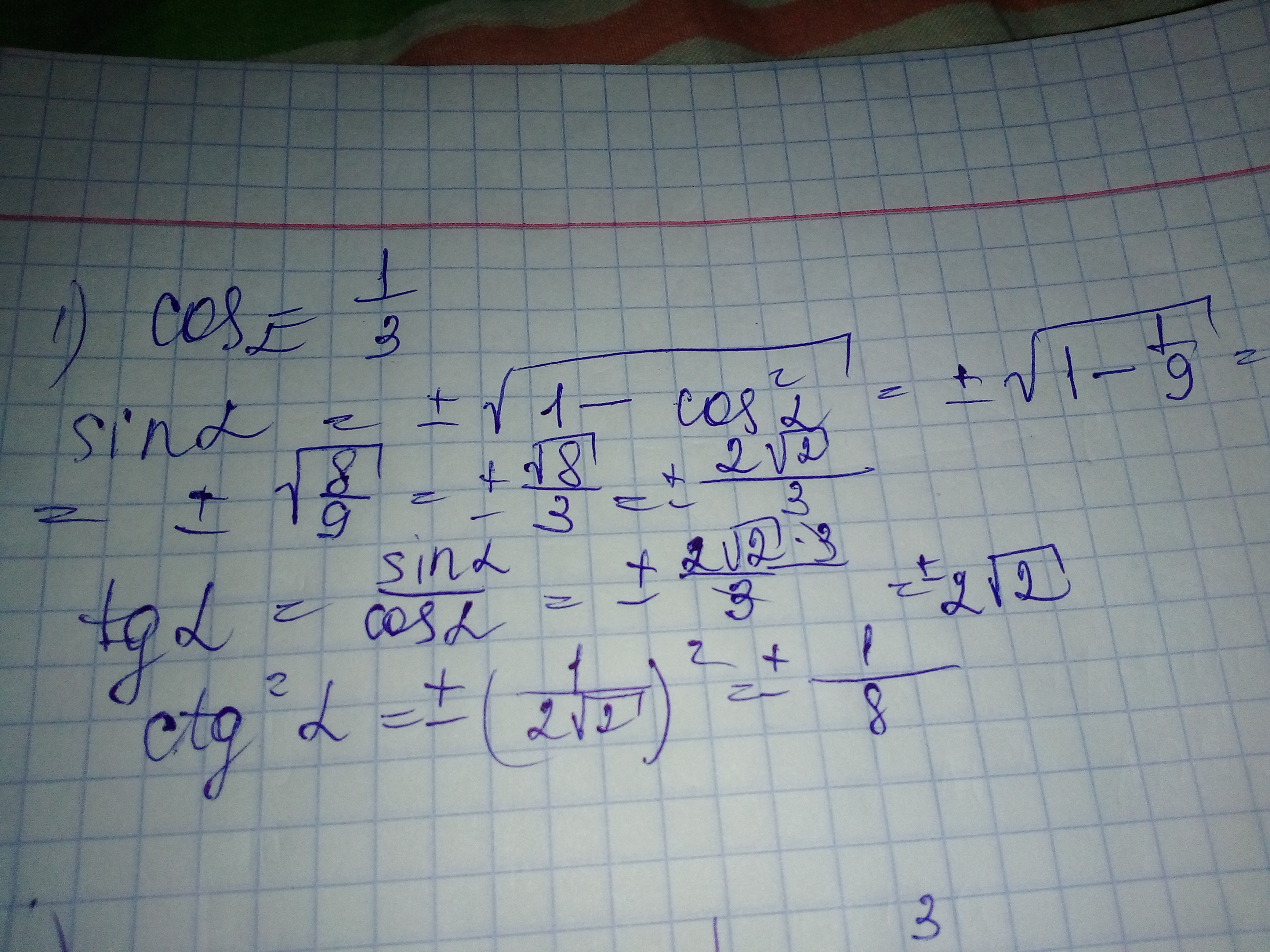
Я писала ± потому, что не указано, в какой четверти находится альфа. Поэтому sin/cos/tg/ctg могли быть как положительными, так и отрицательными.
Приложения:
msolesya1:
а можно 2?
Похожие вопросы
Предмет: Математика,
автор: zhusipbaukagmailcom
Предмет: Английский язык,
автор: gtoartemov
Предмет: Информатика,
автор: luchshiyarmyanarturv
Предмет: Математика,
автор: arxangel2000
Предмет: Литература,
автор: Sofa2112