Предмет: Алгебра,
автор: дарм1
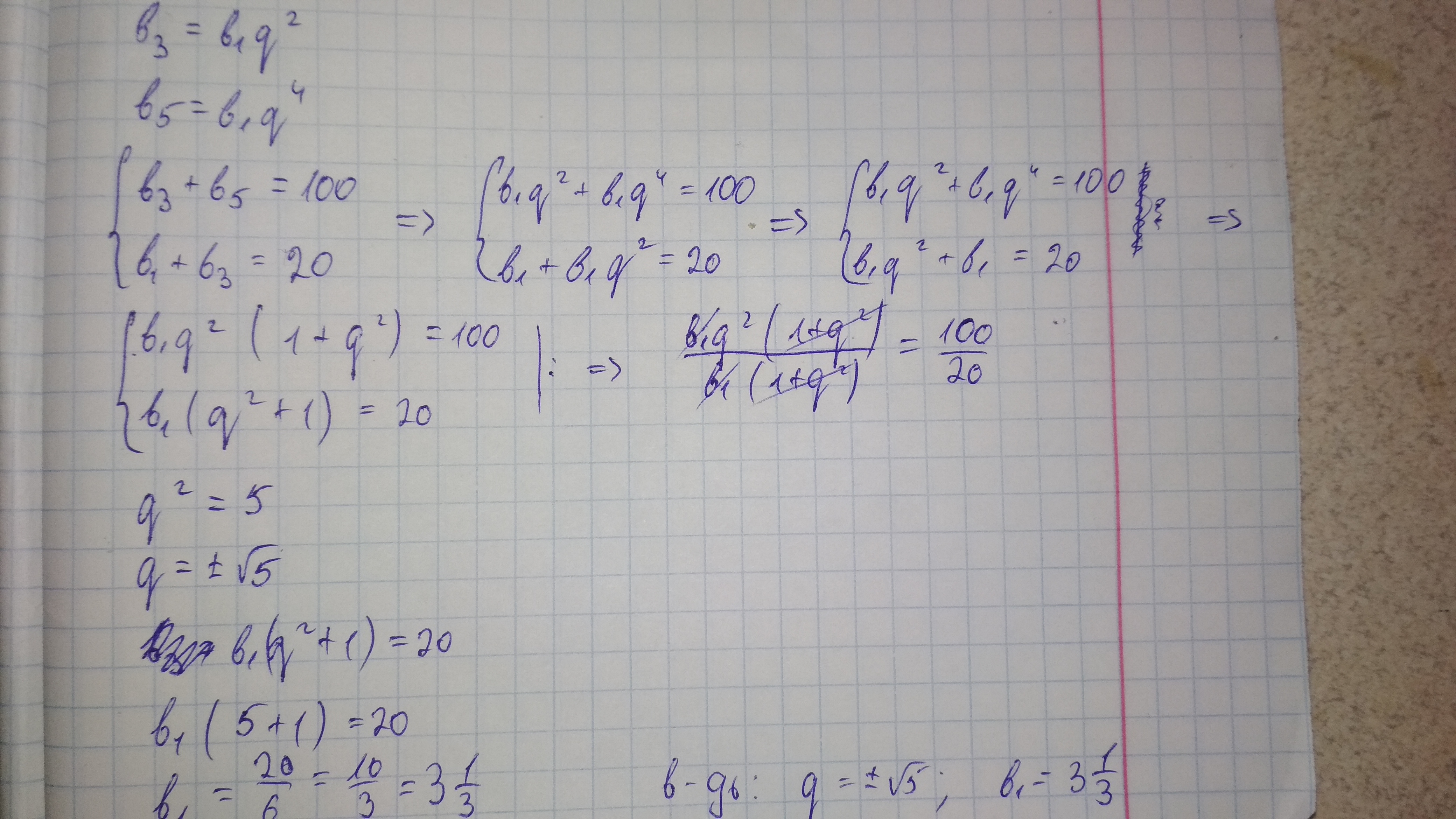
знайти перший член і знаменик геометричної прогресії якщо b3+b5=100 і b1+b3=20
Ответы
Автор ответа:
3
q=√5
b1=10\3(дріб)
b1*q2+b1*q4=100
b1+b1*q2=20(система)
b1=10\3(дріб)
b1*q2+b1*q4=100
b1+b1*q2=20(система)
дарм1:
можно более подробно?
Автор ответа:
6
...............................
Приложения:
Похожие вопросы
Предмет: География,
автор: clickheretoand
Предмет: География,
автор: lizaslavuta7
Предмет: Математика,
автор: dak48576
Предмет: География,
автор: nadyushkamil