Предмет: Алгебра,
автор: kiralaitrichter
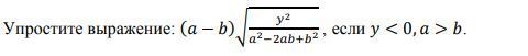
Помогите! Пожалуйста, уже третий раз выкладывают никто не отвечает(
Приложения:
Ответы
Автор ответа:
1
Похожие вопросы
Предмет: Геометрия,
автор: MashkaBykashks
Предмет: Українська мова,
автор: amakolymbaonvk13net
Предмет: Окружающий мир,
автор: apererva1984
Предмет: Математика,
автор: NoMaks