Предмет: Математика,
автор: nik946
срочно, 3(х+1)=5(х+1)+4
Ответы
Автор ответа:
1
3(х+1)=5(х+1)+4
3(х+1)-5(х+1)=4
(3-5)*(х+1)=4
-2(х+1)=4
х+1=-2
х=-2-1
х=-3
3(х+1)-5(х+1)=4
(3-5)*(х+1)=4
-2(х+1)=4
х+1=-2
х=-2-1
х=-3
Автор ответа:
1
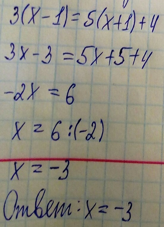
решение на фото.
..................
..................
Приложения:
Похожие вопросы
Предмет: Геометрия,
автор: mariatkach1988
Предмет: Русский язык,
автор: kusolga989
Предмет: Русский язык,
автор: ahloevislam736
Предмет: Алгебра,
автор: Natalie5594
Предмет: Литература,
автор: missisgames