Предмет: Математика,
автор: Saydokz
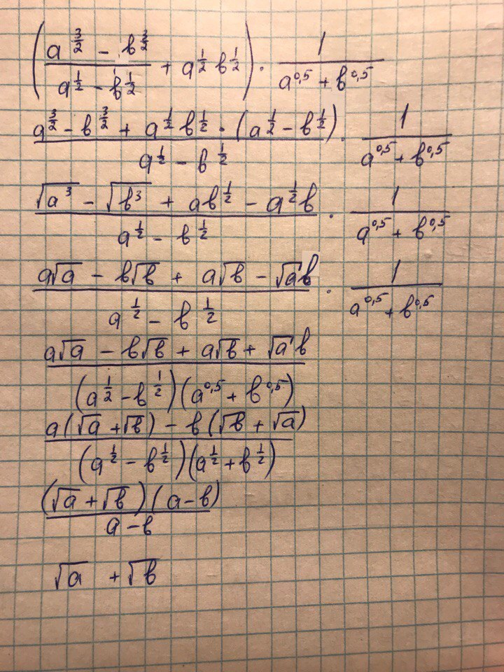
Ребят, как упростить данное неравенство под цифрой 1 ? Все последующие легкие, этот не могу решить 2 час.
Приложения:
Ответы
Автор ответа:
1
смотри решение в приложении
Приложения:
Saydokz:
спасибо
Похожие вопросы
Предмет: Математика,
автор: vovanpazdnikov
Предмет: Окружающий мир,
автор: Аноним
Предмет: История,
автор: groundd
Предмет: Обществознание,
автор: tanuhashnyryova
Предмет: История,
автор: rteterr