Предмет: Алгебра, автор: dragomirova03

Помогите решить!!)) 20баллов

Приложения:

pickshitwindota2: вы уверены что правильно записали дз?

Ответы

Автор ответа: Аноним
1
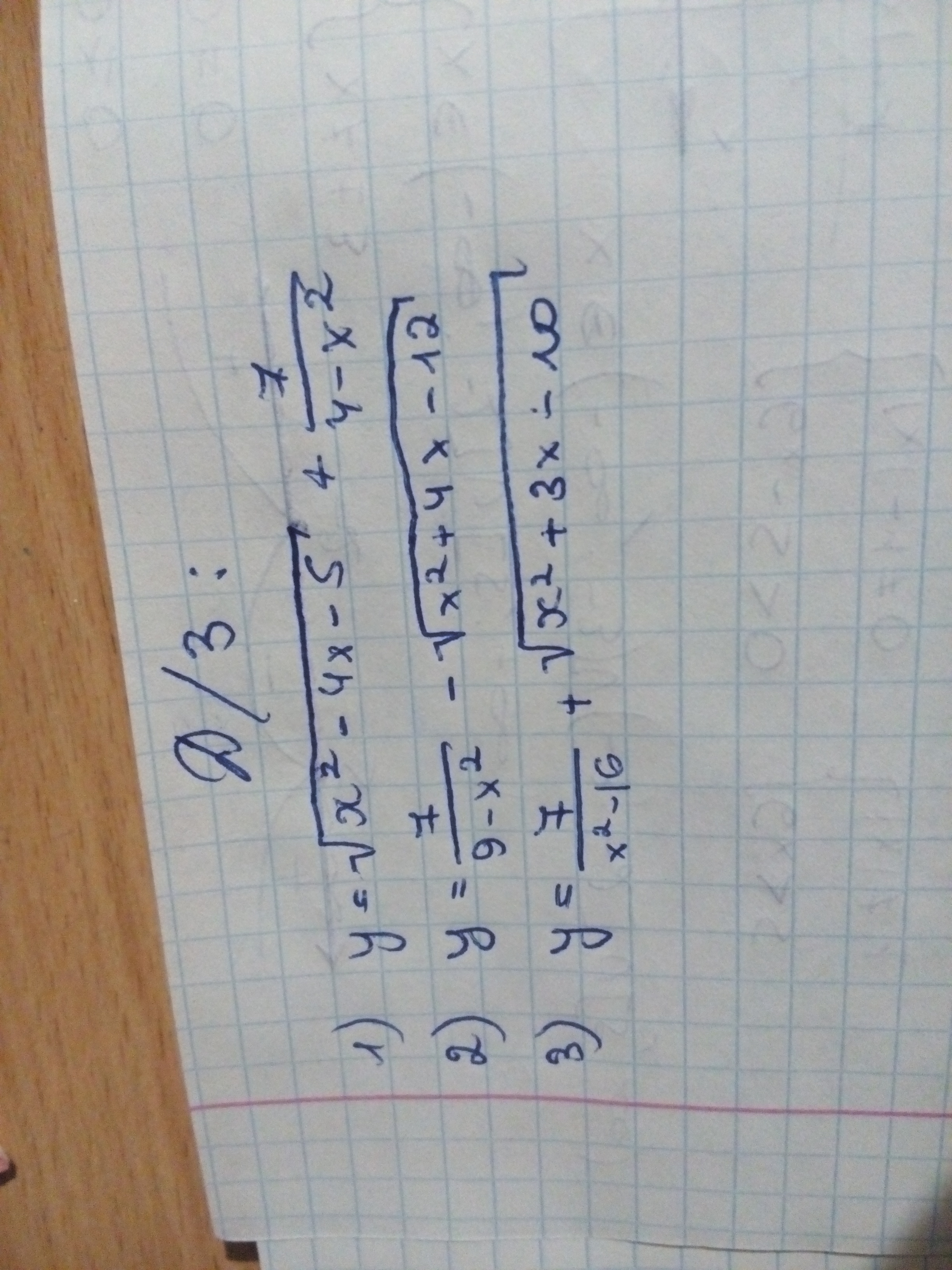
Найти область определения. Решение задания приложено.
Приложения:
Похожие вопросы
Предмет: Алгебра, автор: Pavelovsf