Предмет: Алгебра,
автор: kakateg
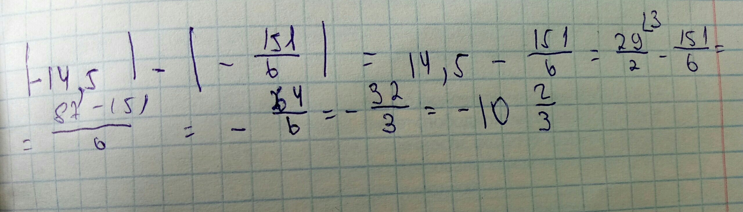
Найти значение выражения|-14,5|-|-151/6|
Ответы
Автор ответа:
1
Ответ во вложении
---------------------
---------------------
Приложения:
Похожие вопросы
Предмет: Физика,
автор: chychka228
Предмет: Физика,
автор: aroslavferc
Предмет: Немецкий язык,
автор: levaniko1103
Предмет: Литература,
автор: Мери27
Предмет: Математика,
автор: edinirognastua