Предмет: Алгебра,
автор: jxhxhcgcgu
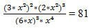
Пожалуйста Решите уравнение:
Приложения:
Ответы
Автор ответа:
0
......................
Приложения:
jxhxhcgcgu:
Без корня можно?
6.25
Напиши пожалуйста, решение без корня.
х=245,45 В степени 1/3 =6,25
Похожие вопросы
Предмет: Геометрия,
автор: ymniychelovek32
Предмет: Химия,
автор: zoramakarov38
Предмет: Математика,
автор: rzdanov52
Предмет: Математика,
автор: sebnem1232