Предмет: Алгебра,
автор: shahrudinova
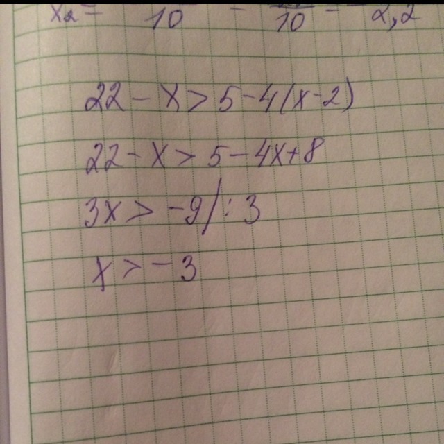
решите неравенство 22-x знак больше 5-4(x-2)
Ответы
Автор ответа:
2
Нажми спасибо и в лучшее❤️
Приложения:
Похожие вопросы
Предмет: Английский язык,
автор: Gamemode2314
Предмет: Английский язык,
автор: nishanova2021
Предмет: Русский язык,
автор: ivannagarkusa54
Предмет: Математика,
автор: Незнайка2709
Предмет: Математика,
автор: ЮликаВлади