Предмет: Математика,
автор: Blazerd
Решите пожалуйста, срочно.
Приложения:
Ответы
Автор ответа:
1
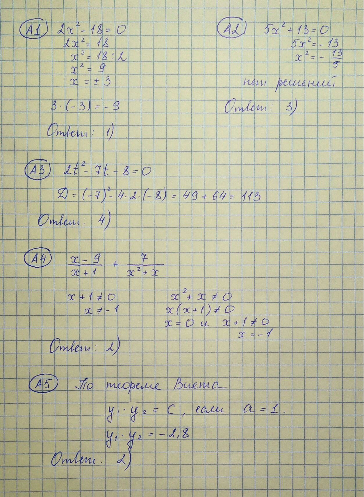
Ответы и решение на фото
Приложения:
Автор ответа:
0
1) 2x^2-18= 0
x1= 3
x2=-3
(-3)*3 = -9
Ответ: 1
2) 5x^2+13=0
Ответ: 3
3) d=7^2+4*2*8=113
Ответ: 4
4) Приравниваем знаменатели к 0
Ответ: 2
5) Ответ: 2
x1= 3
x2=-3
(-3)*3 = -9
Ответ: 1
2) 5x^2+13=0
Ответ: 3
3) d=7^2+4*2*8=113
Ответ: 4
4) Приравниваем знаменатели к 0
Ответ: 2
5) Ответ: 2
Похожие вопросы
Предмет: Русский язык,
автор: iu878046
Предмет: Математика,
автор: polinacernova473
Предмет: Математика,
автор: shaxnozaqizim
Предмет: Алгебра,
автор: daryabliznyuk0
Предмет: География,
автор: Олег13371