Предмет: Математика, автор: boomChicabooom

Помогите пожалуйста
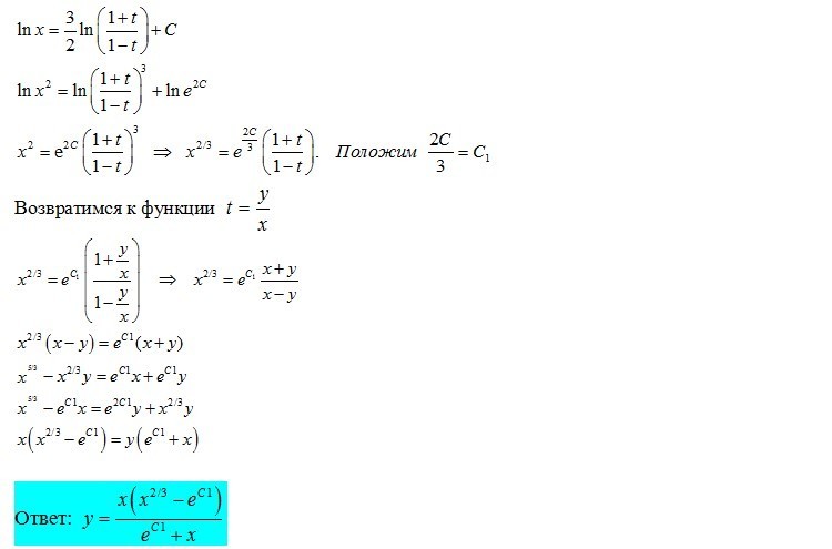
Найдите общий интеграл дифференциального уравнения:
y' =  \frac{ y^{2}+3xy - y^{2} }{ 3x^{2}-2xy }


justcall: Проверь числитель. Там точно у^2+3xy-y^2?

Ответы

Автор ответа: justcall
0
Решение прикреплено.
Приложения:
Похожие вопросы
Предмет: Українська мова, автор: sashaorn77
Був хмарний туманний ранок, над будинками висіла сіро-коричнева пелена, неначе відбиток вкритих болотом вулиць унизу. Мій компаньйон перебував у найкращому гуморі, без угаву балакав про кремонські скрипки й різницю між скрипками Страдіварі й Аматі. Я ж весь час мовчав, бо похмура погода й сумна справа, за яку ми взялися, неабияк мене пригнічували. — Ви наче й не дуже думаєте про роботу, яку взяли на себе,— не витримав я нарешті, перебивши Холмсові музичні міркування.
— Я ще не маю фактів,— відповів він.
— А теоретизувати, не знаючи всіх обставин справи,— величезна помилка. Це впливає на безпомилковість висновків.
— Скоро ви матимете факти,— мовив я, показуючи пальцем.
— Ось Брікстон-роуд, а це, якщо я не дуже помиляюсь, той будинок.
— Правильно. Стій, кучере, стій! Ми не доїхали до будинку ярдів сто, але за наполяганням Холмса висіли з екіпажа й решту шляху пройшли пішки. Будинок номер три по Лорістон-гарденс мав лиховісний і загрозливий вигляд. Це був один з чотирьох будинків, що стояли поряд, трохи відступивши від проїжджої частини вулиці; у двох з них хтось жив, ще два стояли порожніми. Останні світили трьома рядами сумних і понурих вікон, на яких не було занавісок, але за каламутними шибками, наче більма, де-не-де виднілися оголошення: «Здається внайми». Маленькі палісадники з розкиданими острівцями чахлої рослинності відокремлювали ці будинки від вулиці; кожний з палісадників перетинала вузька жовтуватого кольору доріжка, зроблена, очевидно, з суміші глини й грубого піску. Вночі пройшов дощ, і все було мокре. Палісадник перед будинком номер три було обгороджено трифутовим цегляним муром з дерев'яним парканчиком зверху; біля муру, спершись на нього, стояв дебелий констебль, оточений невеличким гуртом ґаволовів, які витягували шиї й напружували очі в марній надії хоч мигцем побачити, що саме відбувається в палісаднику. Мені здавалося, що Шерлок Холмс негайно побіжить у будинок і порине у вивчення таємничої події. Та такого, як виявилося, в його намірах і близько не було. З безтурботним виглядом, який за подібних обставин видався мені трохи неприродним, він неквапливо прогулявся туди й назад по бруківці, байдужим поглядом ковзаючи по небу, по землі, по будинках навпроти й по дерев'яному парканчику. Закінчивши цей огляд, він повільно пройшов до будинку доріжкою, точніше по траві, що росла обабіч доріжки, пильно дивлячись на землю. Двічі він зупинявся і один раз я побачив, як він посміхнувся й задоволено щось вигукнув. На мокрій глиняній доріжці було чимало слідів, але полісмени багато по ній попоходили, і я не уявляв собі, як може мій компаньйон сподіватися щось на ній прочитати. Проте я вже мав докази його дивовижної спостережливості й був переконаний, що він побачить багато такого, що сховано від мене за сімома печатками. Біля дверей будинку нас зустрів високий на зріст з блідим обличчям і волоссям кольору соломи чоловік з блокнотом у руці; кинувшись нам назустріч, він гаряче потиснув руку Холмсові.
— Як добре, що ви прийшли,
— сказав він,
— я залишив усе так, як було, ніхто нічого не чіпав.​
1. Складіть план стислого переказу.
2. Перекажіть стисло текст за складеним планом.​
Предмет: Алгебра, автор: SMACKYCAT