Предмет: Физика,
автор: Olinaa
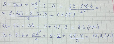
При равноускоренном движении с начальной скоростью 5 м/с тело за 3 с прошло 20м. С каким ускорением двигалось тело? Какова его скорость в конце третьей секунды? Какой путь оно прошло за вторую секунду?
Ответы
Автор ответа:
0
Решение на фото, успехов :)
Приложения:
Похожие вопросы
Предмет: Русский язык,
автор: kamillalike2008
Предмет: Химия,
автор: bilasvalera05
Предмет: Английский язык,
автор: klaropotter
Предмет: Информатика,
автор: Valya8