Предмет: Алгебра,
автор: yura30006ph
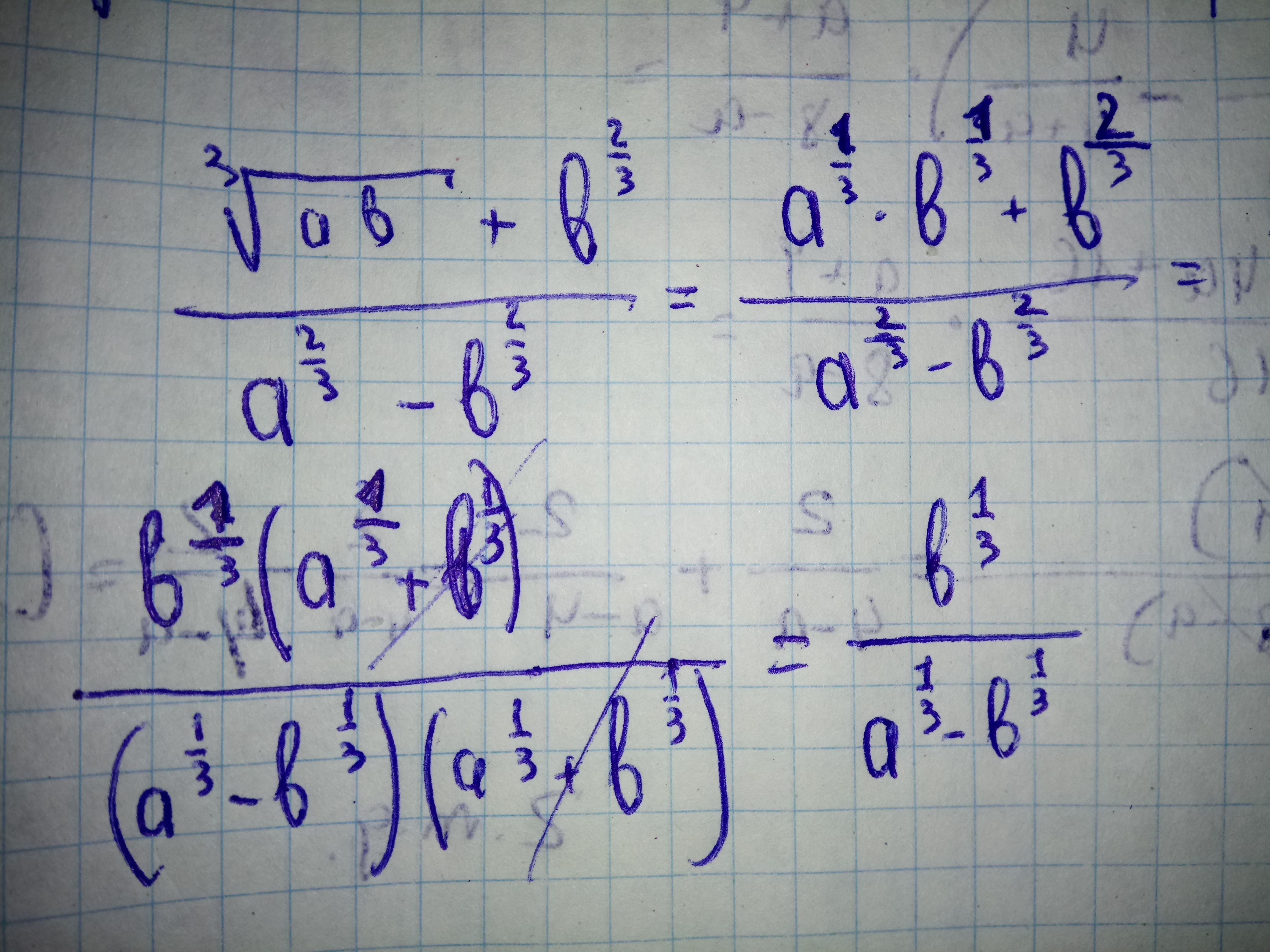
Нужно сократить дробь
Приложения:
Ответы
Автор ответа:
0
Решение задания приложено
Приложения:
Похожие вопросы
Предмет: Русский язык,
автор: omaroveraly0
Предмет: Информатика,
автор: max8182
Предмет: Литература,
автор: veronikatimosuk40
Предмет: История,
автор: Алия205