Предмет: Алгебра,
автор: 12242154255
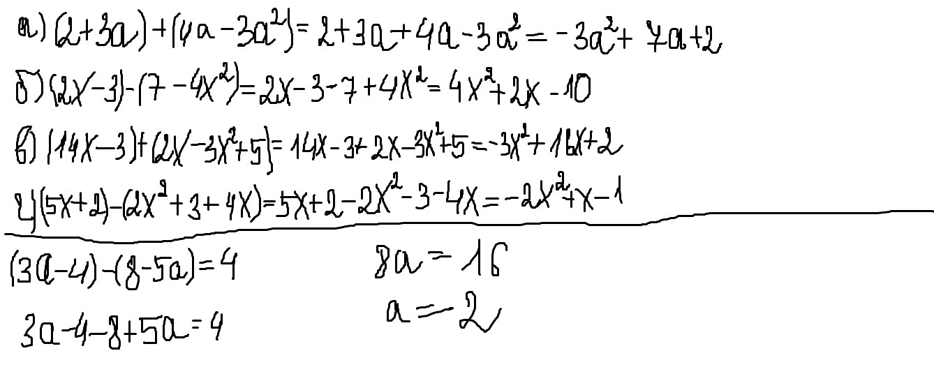
Преобразуйте в многочлен стандартного вида:
А)(2+3а)+(4а-3а²)=
Б)(2х-3)-(7-4х²)=
В)(14х-3)+(2х-3х²+5)=
Г)(5х+2)-(2х²+3+4х)=
Решите уравнение: (3а-4)-(8-5а)=4
Приложения:
Ответы
Автор ответа:
1
Решение прикреплено в файле.
Приложения:
Похожие вопросы
Предмет: Русский язык,
автор: alhanovadamila
Предмет: Математика,
автор: nur86sag
Предмет: Алгебра,
автор: katy428
Предмет: Алгебра,
автор: АнастасияКвит