Предмет: Математика,
автор: катя493939
ппомогите,пожайлуста ))
Приложения:
Ответы
Автор ответа:
1
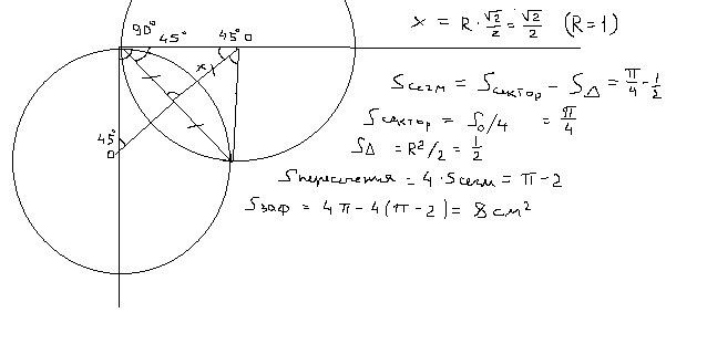
Б). 8 см²
Пояснение: 4 сегмента, потому что, у каждого полукруга, убираются по 2 сегмента.
Пояснение: 4 сегмента, потому что, у каждого полукруга, убираются по 2 сегмента.
Приложения:
Похожие вопросы
Предмет: Русский язык,
автор: battalovasabira9
Предмет: Химия,
автор: alexsander3161
Предмет: История,
автор: Rokki557
Предмет: Математика,
автор: niks89