Предмет: Математика, автор: meryefremova

Решить уравнения и неравенства
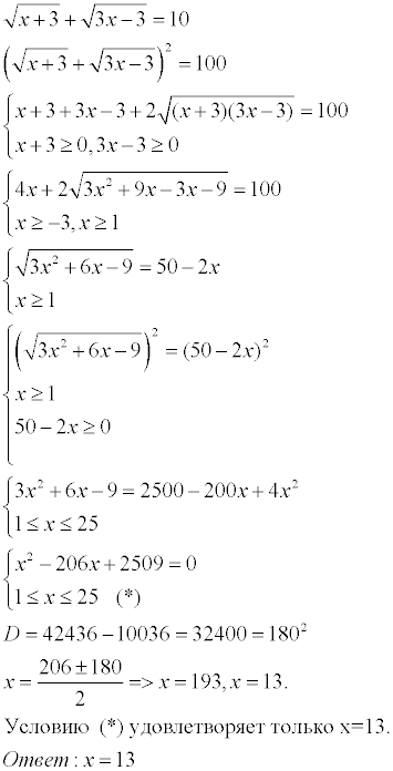
1)√(x+3)+√(3x-3)=10

2)x+2=(большой корень)√(4+x)(под большим корнем)√(36+x^2) 

Ответы

Автор ответа: Tangodown
0
Решение первого задания, проверьте на всякий случай.
Приложения:
Похожие вопросы
Предмет: География, автор: boymusic24
I группа вопросов:

1. Что такое биосфера?

2. Кто из ученых является основоположником учения о биосфере?

3. Назовите все внешние оболочки Земли.

4. Что такое географическая оболочка Земли?

5. Назовите компоненты географической оболочки.

6. В каких состояниях могут присутствовать вещества в географической оболочке?

7. Назовите свойства географической оболочки.

8. Кто из ученых установил связь между ритмами солнечной активности и живыми организмами?

9. Назовите виды круговорота вещества и энергии?

10. В чем особая значимость круговорота воды?

11. В какой внешней оболочке Земли круговорот осуществляется быстрее?

12. Назовите из каких трех главных этапов состоят жизненные процессы на Земле?

13. Назовите важнейшие общие закономерности географической оболочки.

14. Приведите примеры из жизни растений и животных, где проявляется годовой ритм развития.
Предмет: Биология, автор: smoroz99