Предмет: Математика,
автор: ZoomXO
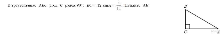
Пожалуйста. С рисунком и подробно, спасибо!)
Приложения:
Ответы
Автор ответа:
0
Собственно, воот. Расписал всё, что мог
Приложения:
Похожие вопросы
Предмет: Оʻzbek tili,
автор: mavlyudamamedova71
Предмет: Алгебра,
автор: 346363e64367
Предмет: Физкультура и спорт,
автор: maksimbessonow2017
Предмет: Алгебра,
автор: fursova20151
Предмет: Алгебра,
автор: pechilinayulia