Предмет: Геометрия,
автор: nikshapar
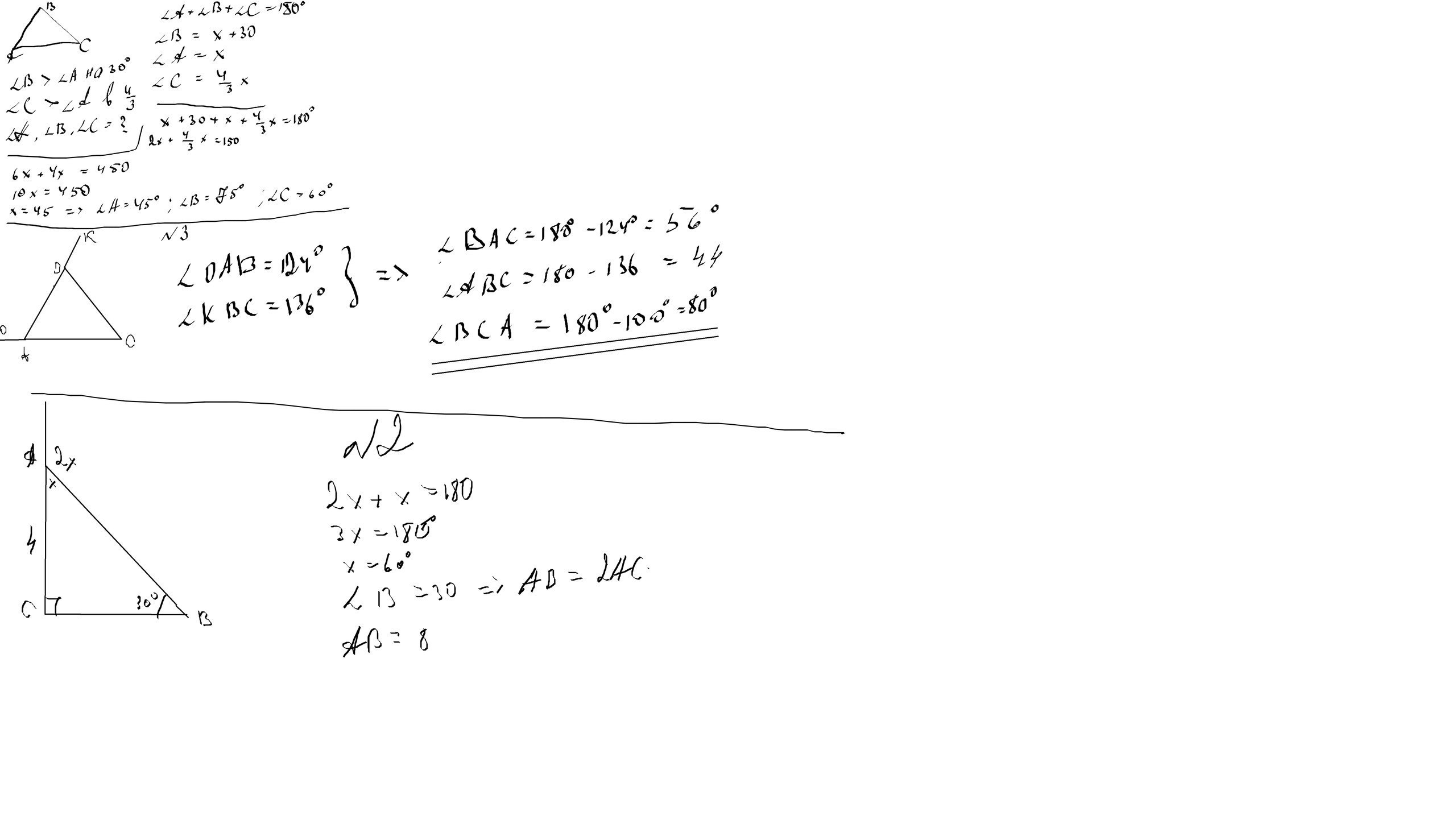
Ответь если не сможете ответь не отвечайте даю 35 баллов
Приложения:
Ответы
Автор ответа:
0
...............................
Приложения:
Дмитрий1425:
Сейчас исправлю
жду
Вы скоро
нет
окей
теперь 3 ?
вы готовый ?
простите
вот тоже 35 баллов решите 3 срочно
https://znanija.com/task/28266566
Похожие вопросы
Предмет: Математика,
автор: mardonovsamir368
Предмет: Литература,
автор: XTOyOu
Предмет: История,
автор: benkens
Предмет: Математика,
автор: Аноним
Предмет: Геометрия,
автор: Serdar2002