Предмет: Алгебра,
автор: кексик145
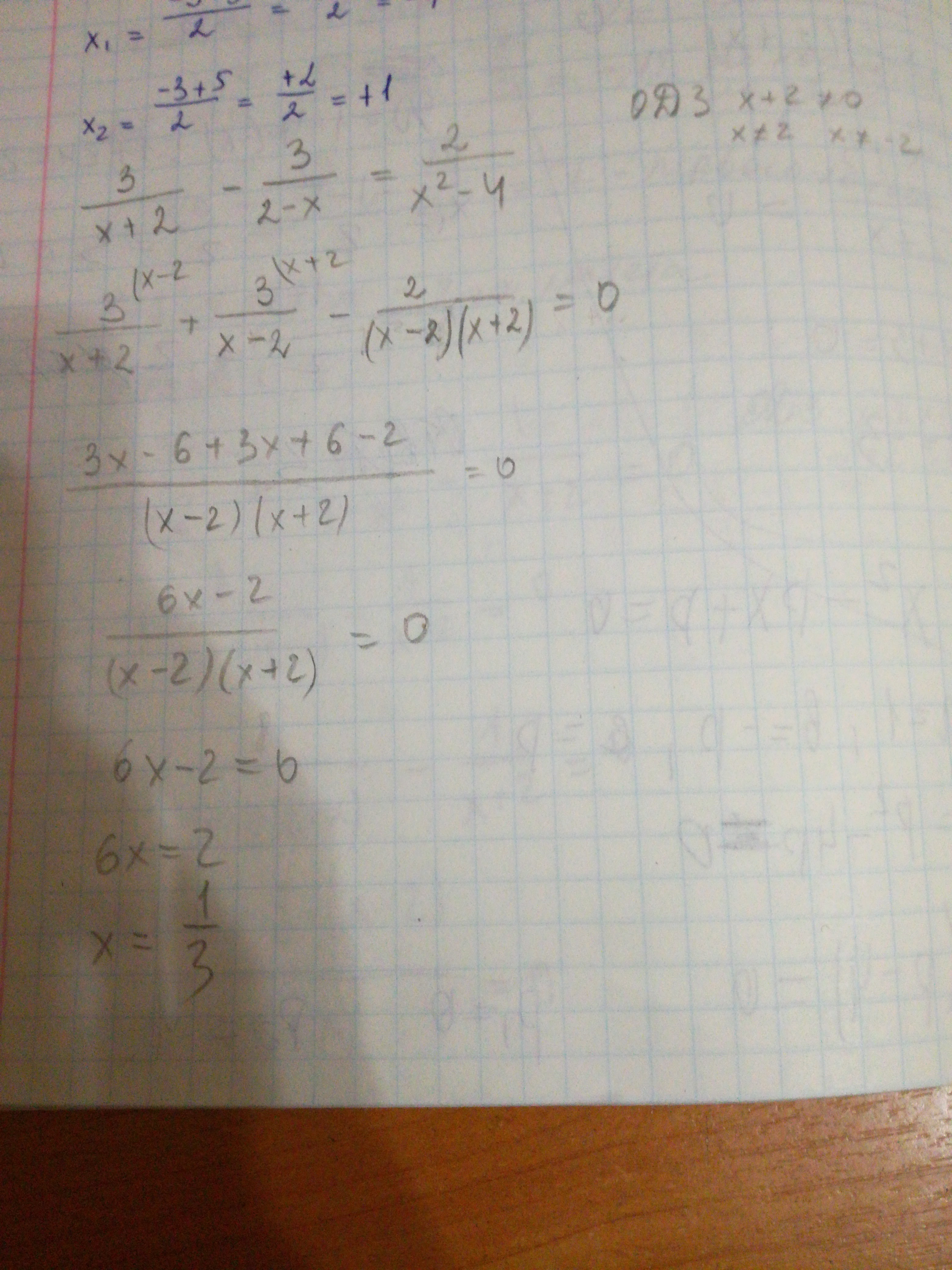
3/х+2-3/2-х=2/х^2-4 решите пожалуйста. Срочно надо!!!
Ответы
Автор ответа:
4
То что карандашом ...
Приложения:
Похожие вопросы
Предмет: Русский язык,
автор: Аноним
Предмет: Математика,
автор: uzarsuperstar
Предмет: Английский язык,
автор: inessa4624
Предмет: Математика,
автор: Friddy