Предмет: Алгебра,
автор: bac1235
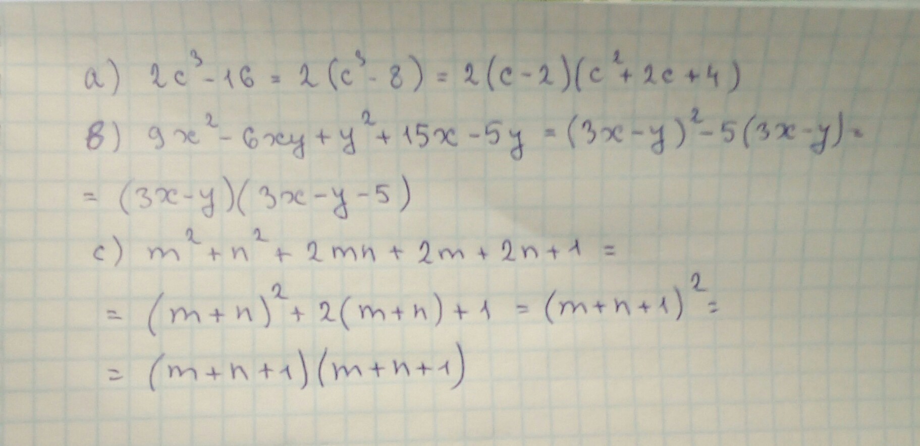
Разложите многочлен на множители
Приложения:
Ответы
Автор ответа:
1
решение смотри на фотографии
Приложения:
Автор ответа:
1
фоточка тебе в помощь ;)
Приложения:
Похожие вопросы
Предмет: Математика,
автор: bobrovskyu
Предмет: Алгебра,
автор: minaminm8na
Предмет: Окружающий мир,
автор: SamiiPrileshnii
Предмет: География,
автор: лпаь