Предмет: Математика,
автор: dianaburym
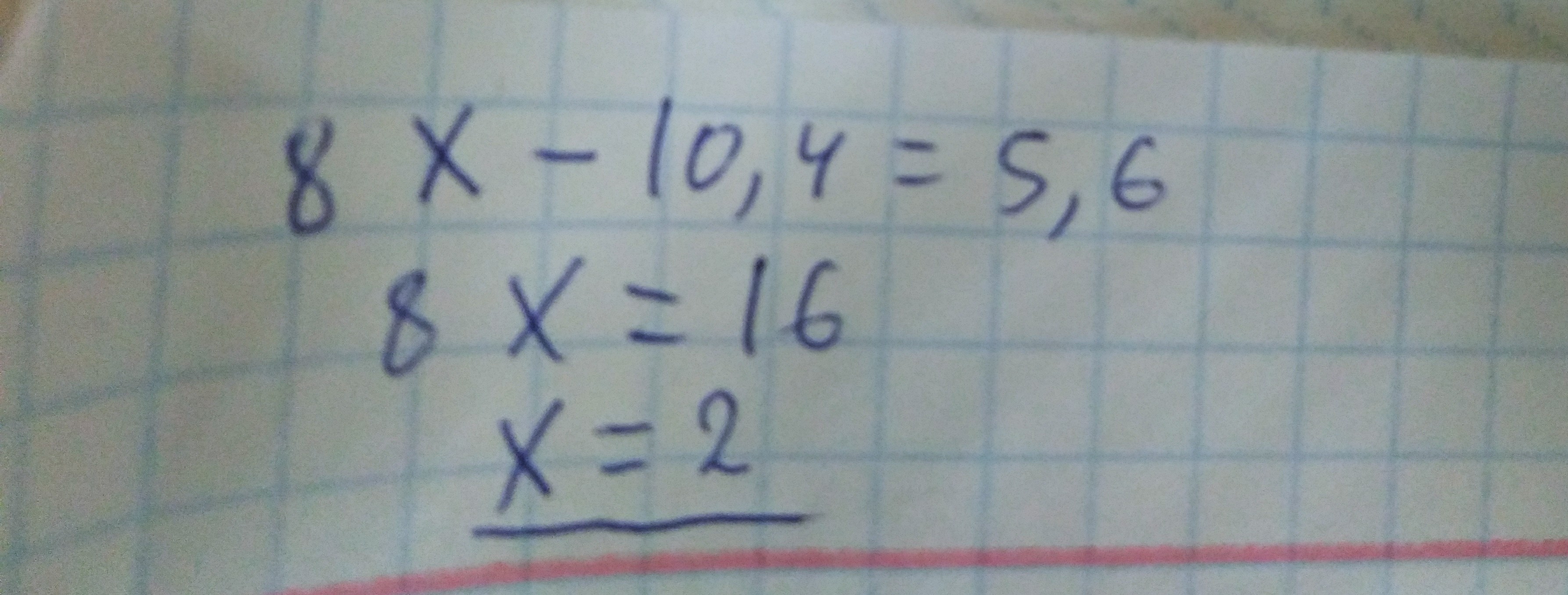
8(х-1.3)=5.6 розвяжить рівняння
Ответы
Автор ответа:
1
Смотри решение во вложении, думаю всё будет понятно
Приложения:
Автор ответа:
1
8x-10,4-5,6=0
8x-16=0
8x=16
X= 16:8=2
8x-16=0
8x=16
X= 16:8=2
Gagaga03:
у меня поподробнее :)))
я думаю, что и так понятно
Похожие вопросы
Предмет: Математика,
автор: katanagaeva61
Предмет: История,
автор: saidmagomed2009
Предмет: Геометрия,
автор: kisaivikaxd
Предмет: Информатика,
автор: Bluprion
Предмет: Химия,
автор: Bekky14