Предмет: Математика,
автор: Аноним
Помогите пожалуйста!
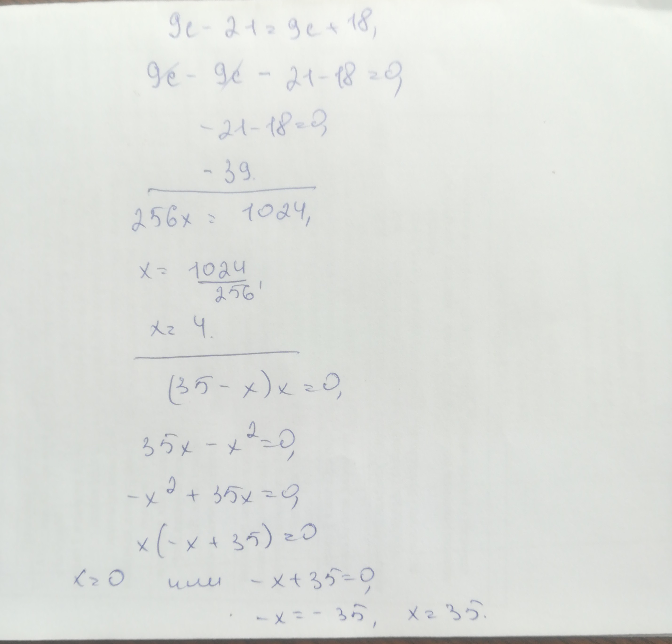
Решите уравнения которые на фотографии
Приложения:
Ответы
Автор ответа:
1
Вот, держи)) я надеюсь, тебе хорошо видно. Не знаю, решали ли вы таким способом, но тем не менее
Приложения:
Аноним:
Мы таким способом еще не решали
Можно другой способ
а каким вы решали?
Ну давай разные способы для 4 класса
Похожие вопросы
Предмет: Алгебра,
автор: ildaramru
Предмет: Математика,
автор: vilkakos
Предмет: Українська мова,
автор: rabokinvika2020
Предмет: Биология,
автор: EnVyUskennyS1
Предмет: Литература,
автор: Аноним