Предмет: Алгебра,
автор: ananasiklolexxxt
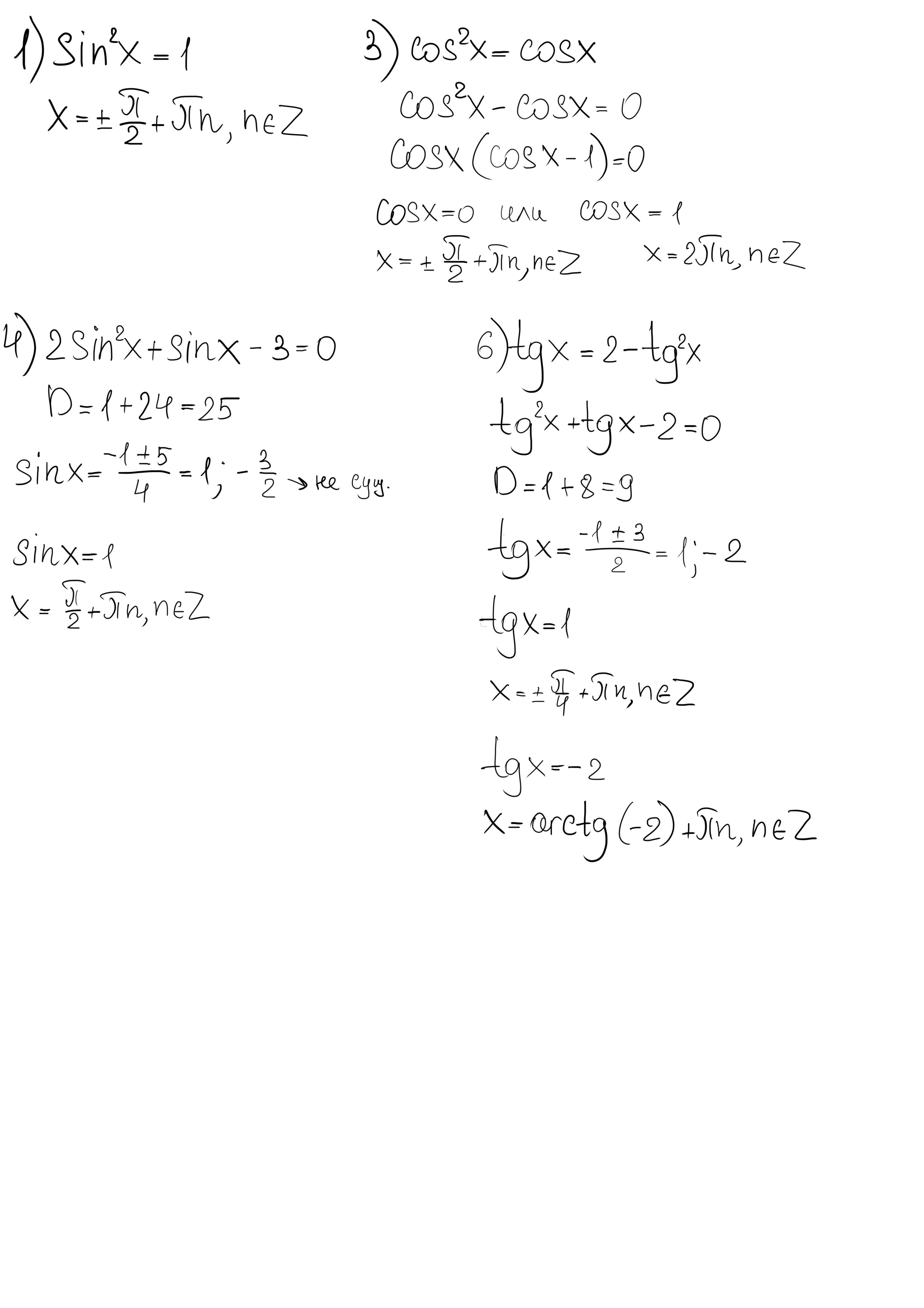
все кроме 1,3,4 6 срочно!!!
Приложения:
Ответы
Автор ответа:
0
вроде все правильно, но лучше проверить
Приложения:
Похожие вопросы
Предмет: Русский язык,
автор: glossxmix
Предмет: Информатика,
автор: Аноним
Предмет: Математика,
автор: vlad220masly00
Предмет: Алгебра,
автор: anyabond1975
Предмет: Математика,
автор: Аноним