Предмет: Алгебра,
автор: Аноним
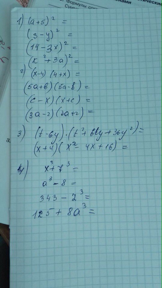
помогите пожалуйста риешить
Приложения:
Ответы
Автор ответа:
1
1) (a+5)^2=a^2+10a+25;
2) (x-4)(4+x)=x^2-4^2=x^2-16;
3) t^3-(6y)^3=t^3-216y^3;
4) x^3+7^3=(x+7)(x^2-7x+49)
2) (x-4)(4+x)=x^2-4^2=x^2-16;
3) t^3-(6y)^3=t^3-216y^3;
4) x^3+7^3=(x+7)(x^2-7x+49)
Похожие вопросы
Предмет: Биология,
автор: bogdan12962
Предмет: Литература,
автор: alim7497
Предмет: География,
автор: angelinadudnik090909
Предмет: Математика,
автор: ЕваЕвченко
Предмет: Алгебра,
автор: ellazel71