Предмет: Математика,
автор: s4nset
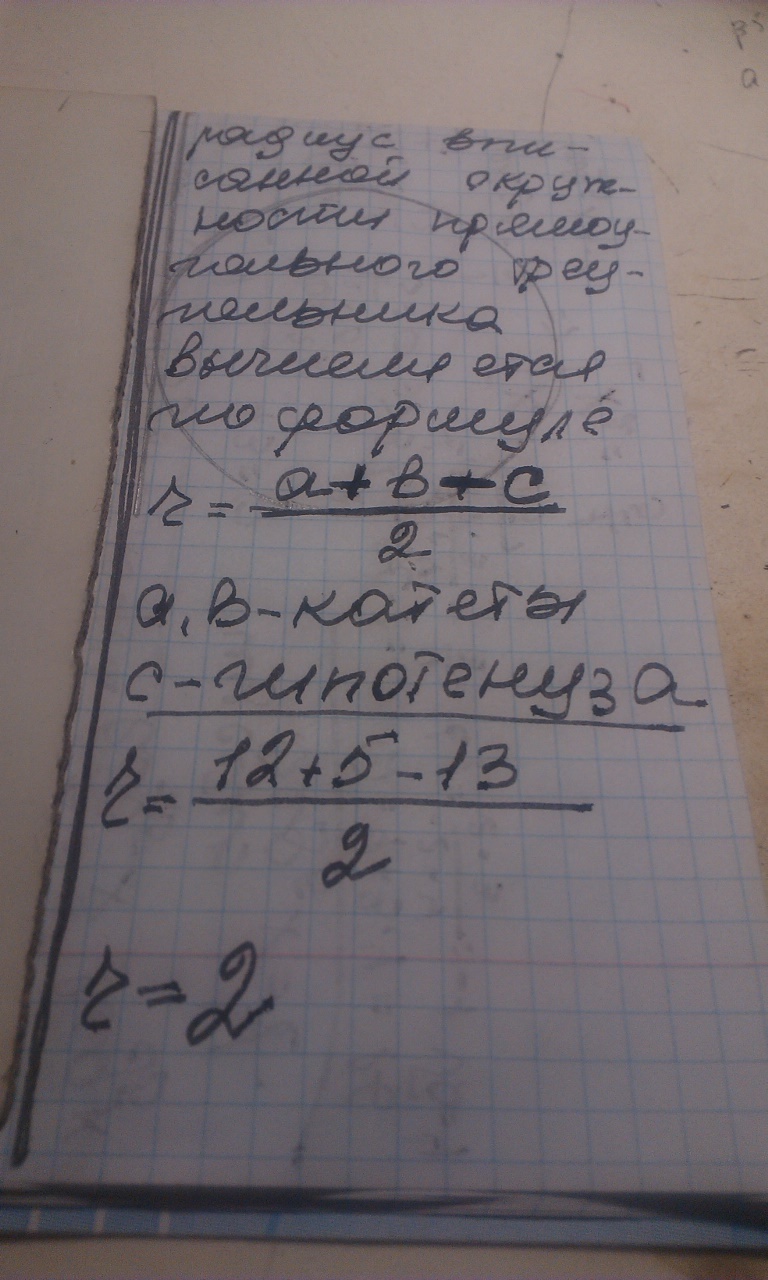
Найдите радиус вписанной окружности в прямоугольный треугольник с катетами 12см и 5см, и гипотинузой 13см.
Ответы
Автор ответа:
2
решение смотри на фотографии
Приложения:
Похожие вопросы
Предмет: Математика,
автор: nikita154313
Предмет: Алгебра,
автор: uajnmorahahaha
Предмет: Информатика,
автор: tanyaagafonkina
Предмет: Математика,
автор: annapashneva1
Предмет: Математика,
автор: Kate1777