Предмет: Математика, автор: foklas

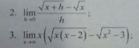
СРОЧНО!ЗАДАНИЕ ИЗ ВУЗА.ПРЕДЕЛ ФУНКЦИИ.

Приложения:

Ответы

Автор ответа: HSS9860
0
Рассмотрите решение для первого предела (для второго задание не видно, к чему стремится предел).
Приложения:
Похожие вопросы
Предмет: Физика, автор: sam17769
Предмет: Русский язык, автор: dariaamirbekova123
Сильная личность не утверждает для себя авторитетов – непоколебимая натура верна себе. Все её действия особенные при проявлении своей уникальности. Сильный и творческий человек часто поддаётся невероятным идеям, незамедлительно воплощаемым в жизнь.

Сильная личность – это человек, под которого не надо подстраиваться, он открыт и искренен, покоряет хорошим чувством юмора и жизнелюбием. Сильный и оптимистичный человек легко подшутит над собой, а это свидетельствует о психической уравновешенности и стабильности.

Изучая вопрос, что такое сильная личность, известные психологи разработали тесты психологического тестирования MBTI. Его особенность проявляется в измерении человеческих факторов, которыми обладает сильный и храбрый человек. С помощью этих тестов легко определить его склонность к типу деятельности, стиль его действий и принятия решений, обеспечивающих чувство комфорта и уверенности.

Сильный человек определяется по 4 шкалам:

• сознание (интроверсионное и экстраверсионое);

• владение ситуаций (здравомыслящее рассуждение и интуитивные факторы);

• принятие решений на основе (логические и пафосные);

• подготовка решений (мудрые и иррациональные).

Сильная личность – это человек, в котором живут пессимист, реалист и оптимист, что позволяет ему заранее быть готовым к любым исходам на протяжении дня. Такие люди уверены во всем, что даёт им спокойствие и стабильность.

Задания :

1. Сформулируйте главную и второстепенную информацию, используя вводные слова и вводные конструкциями, однородные члены предложения.

2. а) Подчеркните в каждом абзаце ключевое предложение. б) Найдите сложные слова.

3. Основываясь на истории героев рассказа-были Л. Н.Толстого «Кавказский пленник», ответьте на вопрос «Что значит существовать как человек и являться человеком?»

4. Используйте вводные слова и конструкции