Предмет: Математика,
автор: Аноним
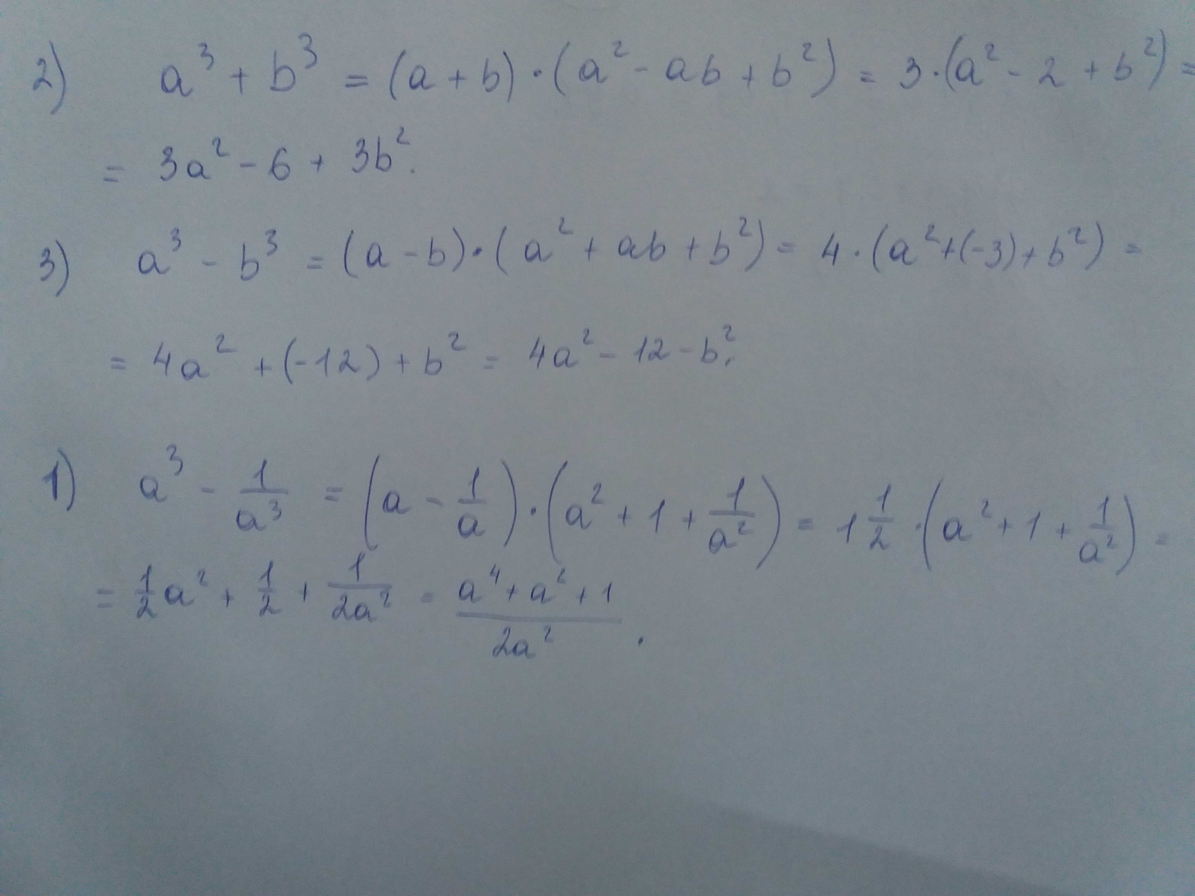
найдите значение выражения умоляю
Приложения:
Ответы
Автор ответа:
1
Надеюсь видно...думаю все правильно) На здоровье!
Приложения:
Похожие вопросы
Предмет: Геометрия,
автор: meom98
Предмет: История,
автор: Yuraaach
Предмет: Литература,
автор: dkrv4nk
Предмет: Математика,
автор: Настюшечка111111
Предмет: Литература,
автор: новичок296