Предмет: Математика,
автор: МозгиДемона
Для заданный функций составе тыблицу:

Где

С шагом, равным 4
6 класс
Ответы
Автор ответа:
2
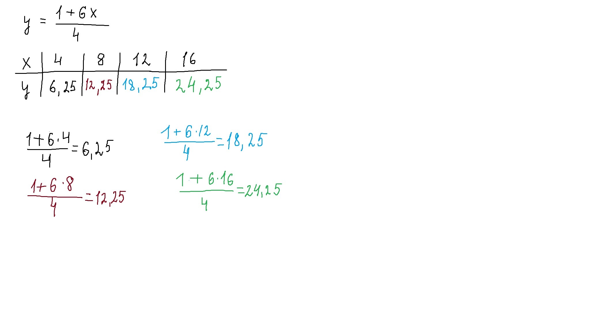
РЕШЕНИЕ
Преобразуем функцию к виду
y = 1/5*X + 1/4
Вычисляем и заносим в таблицу.
x = 4, y = 6.25
x = 8, y = 12.25
x = 12, y = 18.25
x = 16, y = 24.25
Преобразуем функцию к виду
y = 1/5*X + 1/4
Вычисляем и заносим в таблицу.
x = 4, y = 6.25
x = 8, y = 12.25
x = 12, y = 18.25
x = 16, y = 24.25
Автор ответа:
1
таблицу смотри внизу
Приложения:
Похожие вопросы
Предмет: Английский язык,
автор: nezgoda6
Предмет: Математика,
автор: worstinthewrld
Предмет: Обществознание,
автор: Grom2700
Предмет: Физика,
автор: eap1998