Предмет: Математика,
автор: 1hochuvsharagy1
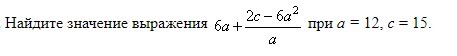
Найдите значение выражения.
Приложения:
Ответы
Автор ответа:
0
(6a²+2c-6a²)/a = 2c/a
2*15/12=30/12=5/2=2,5
2*15/12=30/12=5/2=2,5
Похожие вопросы
Предмет: История,
автор: MiniCatLavki
Предмет: Қазақ тiлi,
автор: Аноним
Предмет: Биология,
автор: Pooreshqua
Предмет: География,
автор: роман172
Предмет: История,
автор: igor99103