Предмет: Математика,
автор: Oliasergienko12
Помогите пожалуйстаа
Приложения:
Ответы
Автор ответа:
1
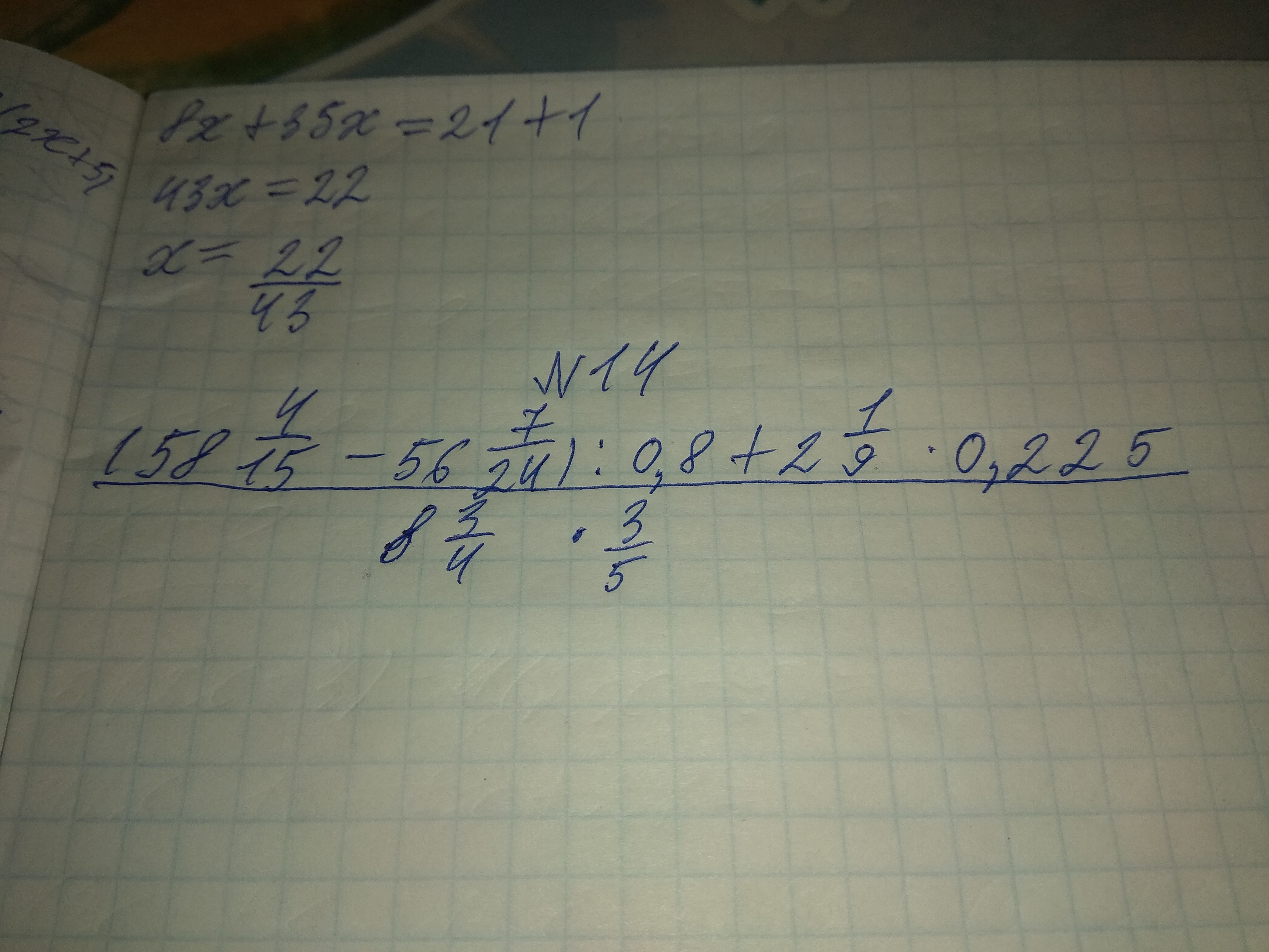
1)58 4/15-56 7/24=1 39/40
2) 1 39/40:0,8=2 15/32
3)2 1/9*0,225=19/40
4)2 15/32+19/40=2 151/160
5)8 3/4*3/5=5 1/4
6) 2 151/160:5 1/4=157/280
2) 1 39/40:0,8=2 15/32
3)2 1/9*0,225=19/40
4)2 15/32+19/40=2 151/160
5)8 3/4*3/5=5 1/4
6) 2 151/160:5 1/4=157/280
Похожие вопросы
Предмет: Қазақ тiлi,
автор: abdulazizesbolatly
Предмет: Биология,
автор: zanbopekuserbaeva
Предмет: Математика,
автор: malidalidjxidh
Предмет: Математика,
автор: Ishakov34789