Предмет: Математика,
автор: неизвестно20172392
помогите пожалуйста. мне срочно надо.
Приложения:
Ответы
Автор ответа:
1
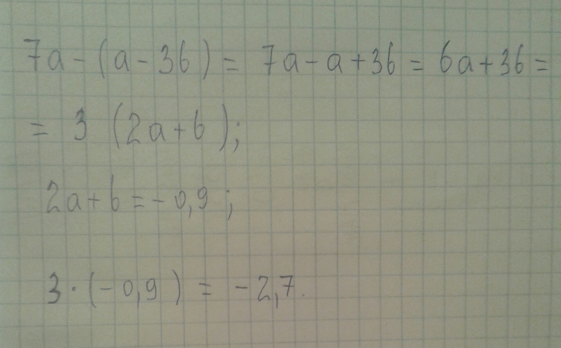
......................
Приложения:
неизвестно20172392:
спасибо!)
пожалуйста
Похожие вопросы
Предмет: Математика,
автор: sofatoad2018
Предмет: Английский язык,
автор: dankivandriana
Предмет: Математика,
автор: 3847nzndj
Предмет: Математика,
автор: Radiray
Предмет: Математика,
автор: HIKOR