Предмет: Алгебра,
автор: albina0052001
ДАМ МНОГО БАЛЛОВ
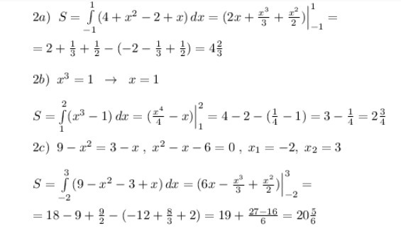
Второе задание под а
ньютон-лейб.
Приложения:
Ответы
Автор ответа:
1
...............................................................................................................................
Приложения:
Похожие вопросы
Предмет: География,
автор: klipa136
Предмет: Математика,
автор: tim0kk
Предмет: Биология,
автор: FanTamKA
Предмет: Алгебра,
автор: elmira69