Предмет: Алгебра,
автор: olyshepeleva58
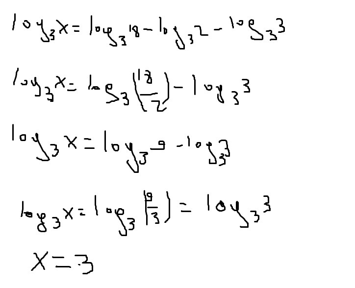
logx по основанию 3= log18 по основанию3- log2 по основанию3- log3 по основанию 3
Ответы
Автор ответа:
1
При решении применяется свойство логарифмов:
Разность логарифмов по одному основанию равно частному этих логарифмов по этому основанию
Разность логарифмов по одному основанию равно частному этих логарифмов по этому основанию
Приложения:
Похожие вопросы