Предмет: Алгебра,
автор: Аноним
Помогите пожалуйста решить!
Приложения:
Ответы
Автор ответа:
0
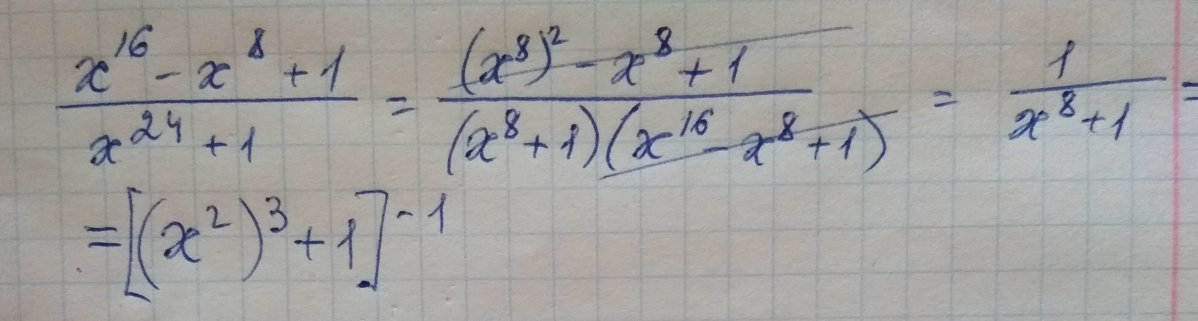
В знаменателе используем формулу кубов:

Сокращаем:
![\frac{1}{ x^{8}+1 }=[( x^{2} ) ^{4}+1] ^{-1} \frac{1}{ x^{8}+1 }=[( x^{2} ) ^{4}+1] ^{-1}](https://tex.z-dn.net/?f=+%5Cfrac%7B1%7D%7B+x%5E%7B8%7D%2B1+%7D%3D%5B%28+x%5E%7B2%7D+%29+%5E%7B4%7D%2B1%5D+%5E%7B-1%7D++)
Сокращаем:
Аноним:
Как с вами связаться?
Очень нужна ваша помощь.
В личные сообщения пишите.
Нужно иметь 4 лучших ответа, чтоб была возможность к сообщениям.
Посмотрите моё новое задание.
Автор ответа:
0
Первый вариант ответа
Приложения:
Поможешь?
У вас ошибка, 3×2 будет 6 а не 8.
Моё новое задание посмотрите.
Похожие вопросы
Предмет: ОБЖ,
автор: azeri1974
Предмет: Геометрия,
автор: ladamoldavan035
Предмет: Математика,
автор: Ladastarline
Предмет: Математика,
автор: Ahat1999