Предмет: Геометрия,
автор: LyNaY
сторона равностороннего треугольника равна 4 найдите его высоту
Ответы
Автор ответа:
2
в равностороннем треугольнике высота является также биссектрисой и медианой. в данном случае нужно воспользоваться как раз тем,что она медиана. медиана треугольника делит противоположную сторону на два равных отрезка. то есть, допустим, что в треугольнике авс из вершины а проведена высота ан (она же медиана), отрезки вн и нс равны. вн=нс=4:2=2.
в треугольнике авн сторона ав=4, вн=2, а угол анв=90°,т.к. ан-высота.
следовательно, треугольник авн прямоугольный, и сторона ав-гипотенуза.
по теореме Пифагора ан²=ав²-вн²
ан²=4²-2²=16-4=12
ан=√12=√4*3=2√3
ответ: 2√3
в треугольнике авн сторона ав=4, вн=2, а угол анв=90°,т.к. ан-высота.
следовательно, треугольник авн прямоугольный, и сторона ав-гипотенуза.
по теореме Пифагора ан²=ав²-вн²
ан²=4²-2²=16-4=12
ан=√12=√4*3=2√3
ответ: 2√3
Приложения:
LyNaY:
надо не площадь найти, а высоту
сорри, я все понял
ниже вывод формул есть...
и в нём меньше писать...
Автор ответа:
0
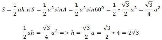
выводим из формул площади треугольника:
Приложения:
h=a*sin 60 = a*√3/2 Формулу высоты равностороннего треугольника не нужно выводить из площади, она выведена из соотношений в прямоугольном треугольнике : катет равен произведению гипотенузы на синус противолежащего угла.
Похожие вопросы
Предмет: Химия,
автор: nurkinsokan
Предмет: Алгебра,
автор: Imlogdhhsb
Предмет: Математика,
автор: babasik200713
Предмет: История,
автор: NyvzNyvz
Предмет: Математика,
автор: Veterok2016