Предмет: Математика,
автор: DanGav
Математика 6 класс примеры подробно 2 фота,на 1 примеры, а на 2 как решить подробно то-ко нужно место тех подставить на 1 фотке примеры, но я незнаю как решить подробно помогите!
Приложения:
Ответы
Автор ответа:
0
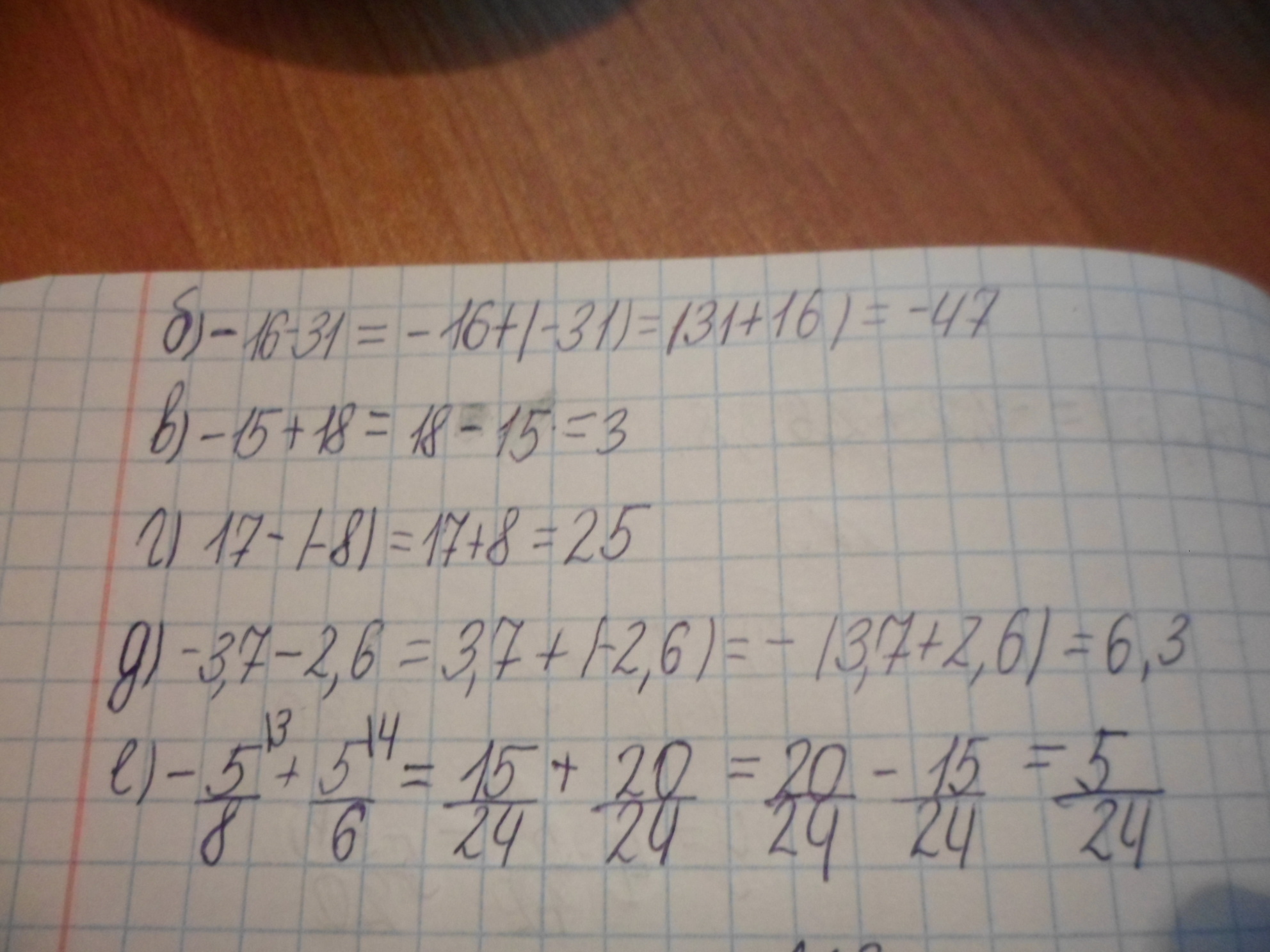
1. -14-28=-(14+28)=-42
2. 12-35=-(35-12)=-23
3. 14+26=40
4. -18-14=-(18+14)=-32
5. -18+14=-(18-14)=-4
6. -2.65-7.2=-(2.65+7.2)=-9.85
7. 24-60=-(60-24)=-36
2. 12-35=-(35-12)=-23
3. 14+26=40
4. -18-14=-(18+14)=-32
5. -18+14=-(18-14)=-4
6. -2.65-7.2=-(2.65+7.2)=-9.85
7. 24-60=-(60-24)=-36
Похожие вопросы
Предмет: Алгебра,
автор: bogdan2007889
Предмет: Русский язык,
автор: vmykola348450
Предмет: Физика,
автор: curkansereza429
Предмет: Химия,
автор: Скурашевская
Предмет: Математика,
автор: vmzspb