Предмет: Алгебра,
автор: pap4ahan
Ребята пожалуйста помогите мне, я ели как то раздобыл задания по СОЧ'у по алгебре, помогите ее решить прошу вас!!!!
Приложения:
Ответы
Автор ответа:
1
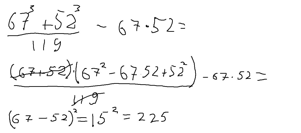
Буду прикреплять по файлу на задание.
Приложения:
Автор ответа:
3
Решение задания приложено
Приложения:
Похожие вопросы
Предмет: Русский язык,
автор: sabinamukaseva9
Предмет: Русский язык,
автор: sabinamukaseva9
Предмет: Алгебра,
автор: deads7834
Предмет: Математика,
автор: ксения610
Предмет: Математика,
автор: минос1