Предмет: Алгебра,
автор: kesaevalina16
Помогите пожалуйста.
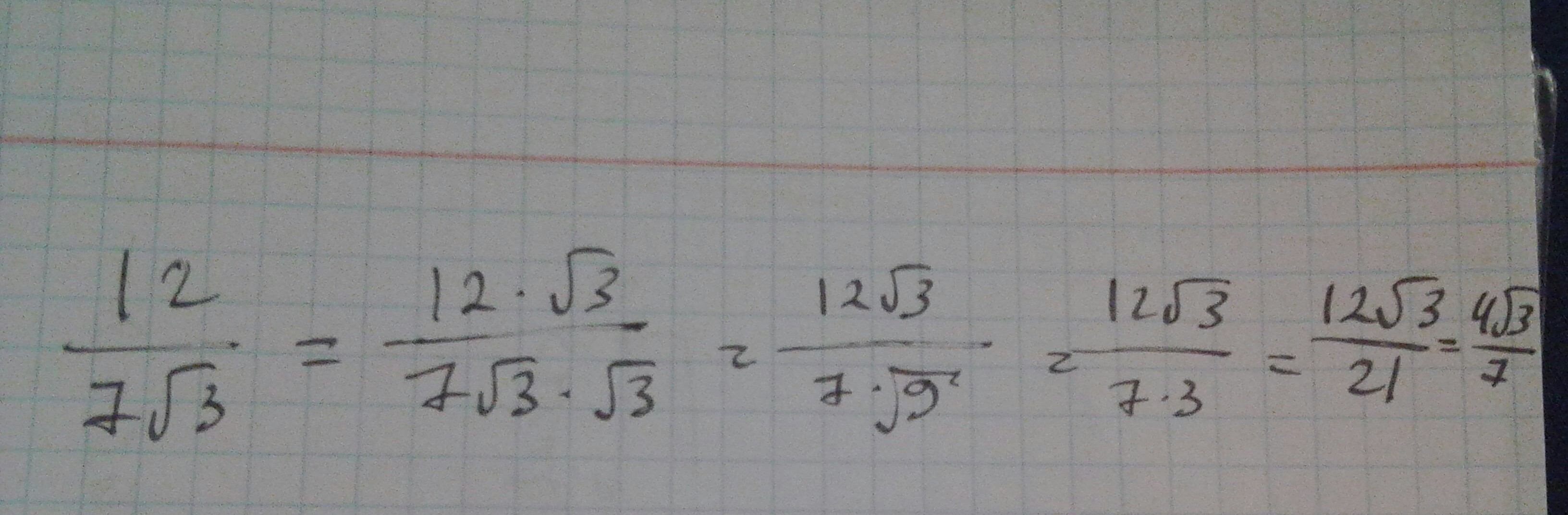
Надо избавиться от иррациональности
12
------ }это дробь
7√3
Ответы
Автор ответа:
14
см скриншот
=======================
=======================
Приложения:
Автор ответа:
21
смотри ответ во вложении.
Приложения:
Энгорск:
спес
Похожие вопросы
Предмет: История,
автор: stahovsana5
Предмет: Українська мова,
автор: volonasta
Предмет: Другие предметы,
автор: russakovanatalya84
Предмет: Математика,
автор: алина1620
Предмет: Математика,
автор: ZH1IZ7anitalena