Предмет: Математика,
автор: Salion21
Помогите пожалуйста решить 2 номер
Приложения:
Ответы
Автор ответа:
1
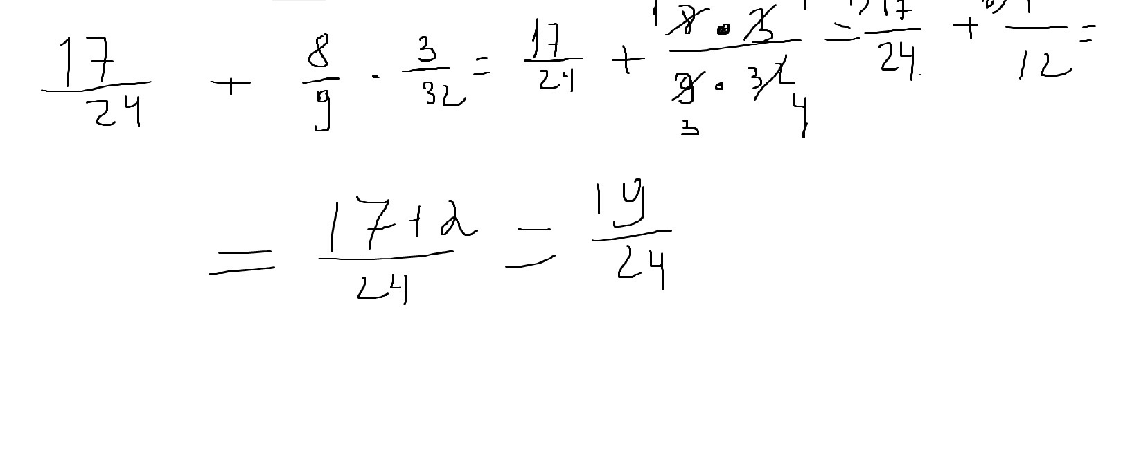
вот решение,надеюсь поймешь
Приложения:
Похожие вопросы
Предмет: Қазақ тiлi,
автор: aigerimkutmambet2020
Предмет: Математика,
автор: pighfhrh
Предмет: Биология,
автор: Аноним
Предмет: Геометрия,
автор: Аноним
Предмет: Математика,
автор: вапроллдж