Предмет: Алгебра,
автор: Аноним
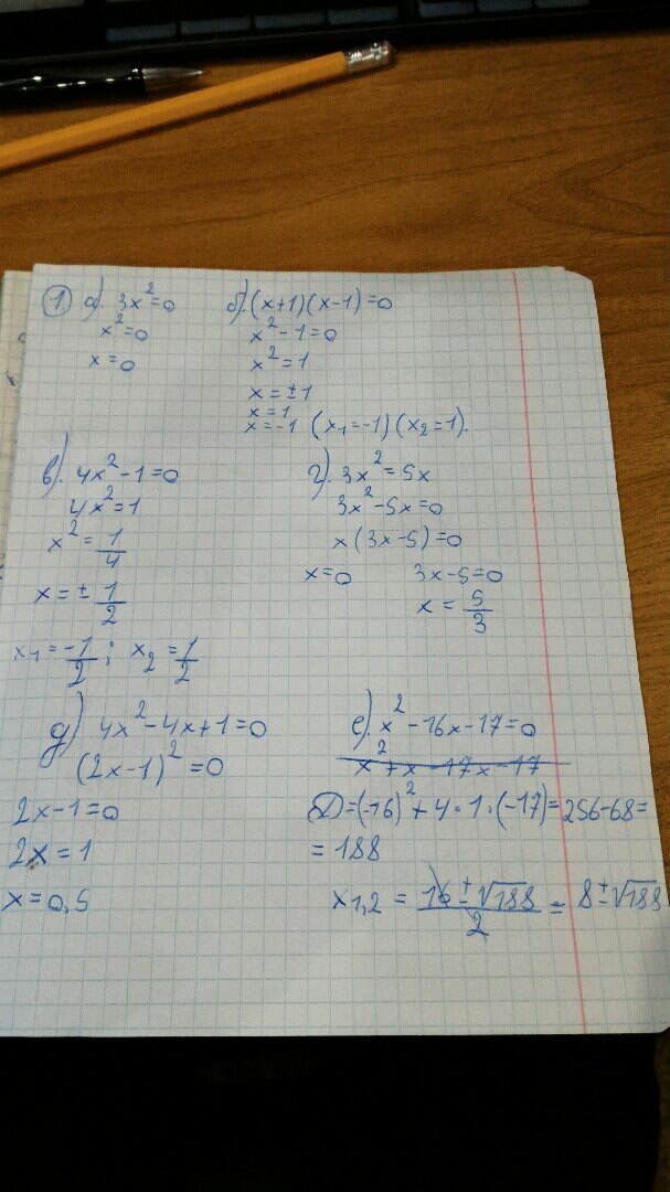
РЕШИТЕ НОМЕРА 1 2 5 Пожалуйста ПОДРОБНО
Приложения:
Ответы
Автор ответа:
0
а)х=0
б)4х2=1
х2=1/4
х=1/4
б)4х2=1
х2=1/4
х=1/4
FACEGUCCI1:
2)а) х (х+1)-6 б ) х (2х-1)-3
Автор ответа:
1
Вот, если что то не понятно пиши)
Приложения:
супер! БРО
Обращайся)
Похожие вопросы
Предмет: Физика,
автор: persikew
Предмет: Русский язык,
автор: martha97
Предмет: Биология,
автор: anastasia2494
Предмет: Математика,
автор: габаторишка
Предмет: История,
автор: Аноним