Предмет: Алгебра, автор: miss32111

помогите пожалуйста!! Нужно полное решение❤

Приложения:

Ответы

Автор ответа: BigBossDog
0
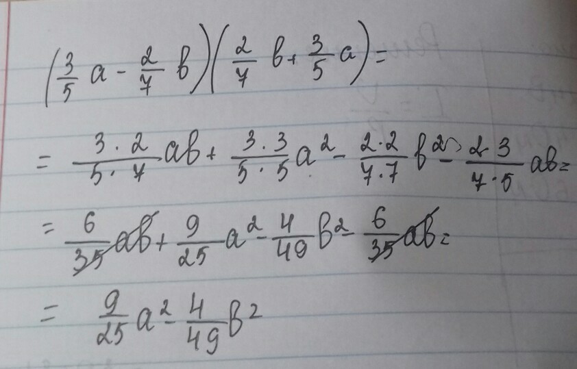
Решение на фото, почучается ответ под цифрой 1
Приложения:
Похожие вопросы
Предмет: Физика, автор: ostap000009
Предмет: Физика, автор: Аноним
Предмет: Математика, автор: КетринSlivka
Предмет: Экономика, автор: Labrie
Приветствую!
Помогите пожалуйста с задачками по экономике. Буду очень признателен!
Задача №1. Цена акции 10 тыс. руб., через 5 лет её стоимость удвоилась. Стоит ли покупать акции, если % по вкладам в банке 10%?
Задача №2. За хранение денег сбербанк начисляет вкладчику 9 % годовых. Вкладчик положил на счёт 10000 р. и решил в течение пяти лет не снимать деньги со счёта и не брать процентные начисления. Сколько денег будет на счете вкладчика:
A. через год?
B. через два года?
C. через пять лет?
Задача № 3. Клиент положил на счёт 1000 рублей. За оказание определённой услуги сумма на счёте ежемесячно снижается на 5 %. Через сколько месяцев эта сумма сократится:
а) до 800 рублей; б) до 700 рублей; в) до 400 рублей; г) до 100 рублей?
Задача № 4. Достаточно ли величины вклада равной 1000$, положенной сегодня в банк под 12%, чтобы через 10 лет заплатить за обучение 2500$?

Задача № 5. Было инвестировано 250 тыс. руб. на 4 года под 6% в год. Определите сумму % начисленную к концу срока.

Задача №6. Определить требуемую сумму вклада, чтобы через год получить деньги в сумме 100 тыс. руб. Банк начисляет % по ставке 25% в год.