Предмет: Алгебра,
автор: CubsonYT
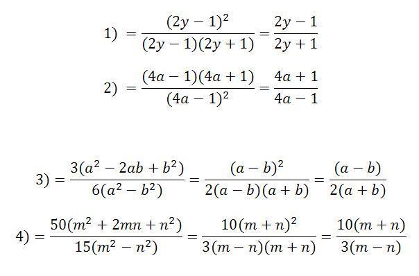
Помогите, пожалуйста. Красные линии - дробные черты. В ПДФ они отсутствовали, нарисовал сам.
Приложения:
Ответы
Автор ответа:
1
Прошу прощения за низкое качество в 1 варианте... вот в нормальном
Приложения:
CubsonYT:
А что рисунок такой мыльный?
Спасибо большое!
обновите страницу и всё будет видно
О, красота, спасибо ещё раз!
Похожие вопросы
Предмет: Геометрия,
автор: daaddddq
Предмет: Математика,
автор: nadima2509
Предмет: Математика,
автор: nerlexmaktiktok4
Предмет: География,
автор: skarly42
Предмет: История,
автор: Katya9914