Предмет: Алгебра,
автор: AnkSunaMyn
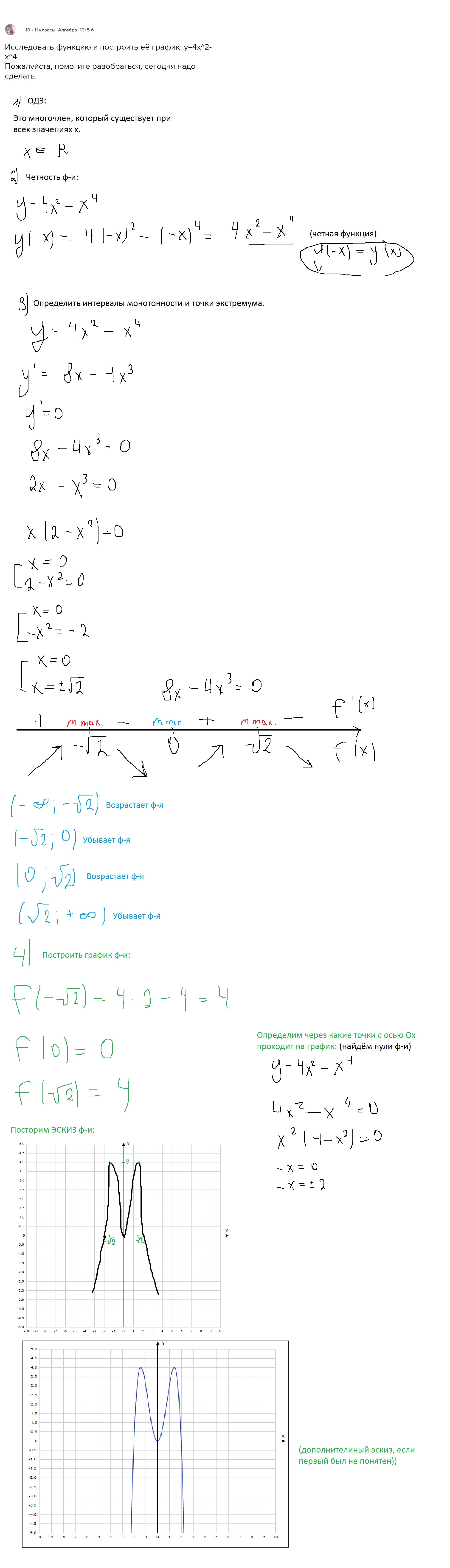
Исследовать функцию и построить её график: у=4х^2-x^4
Пожалуйста, помогите разобраться, сегодня надо сделать.
Ответы
Автор ответа:
0
Готово! Ответ на фото:
Приложения:
Похожие вопросы
Предмет: Українська мова,
автор: ekaterinaborovickaa2
Предмет: География,
автор: andriytalalay
Предмет: Математика,
автор: syuzimagic
Предмет: Математика,
автор: alinamurzakova1
Предмет: Математика,
автор: егор22121