Предмет: Алгебра,
автор: Nayka23
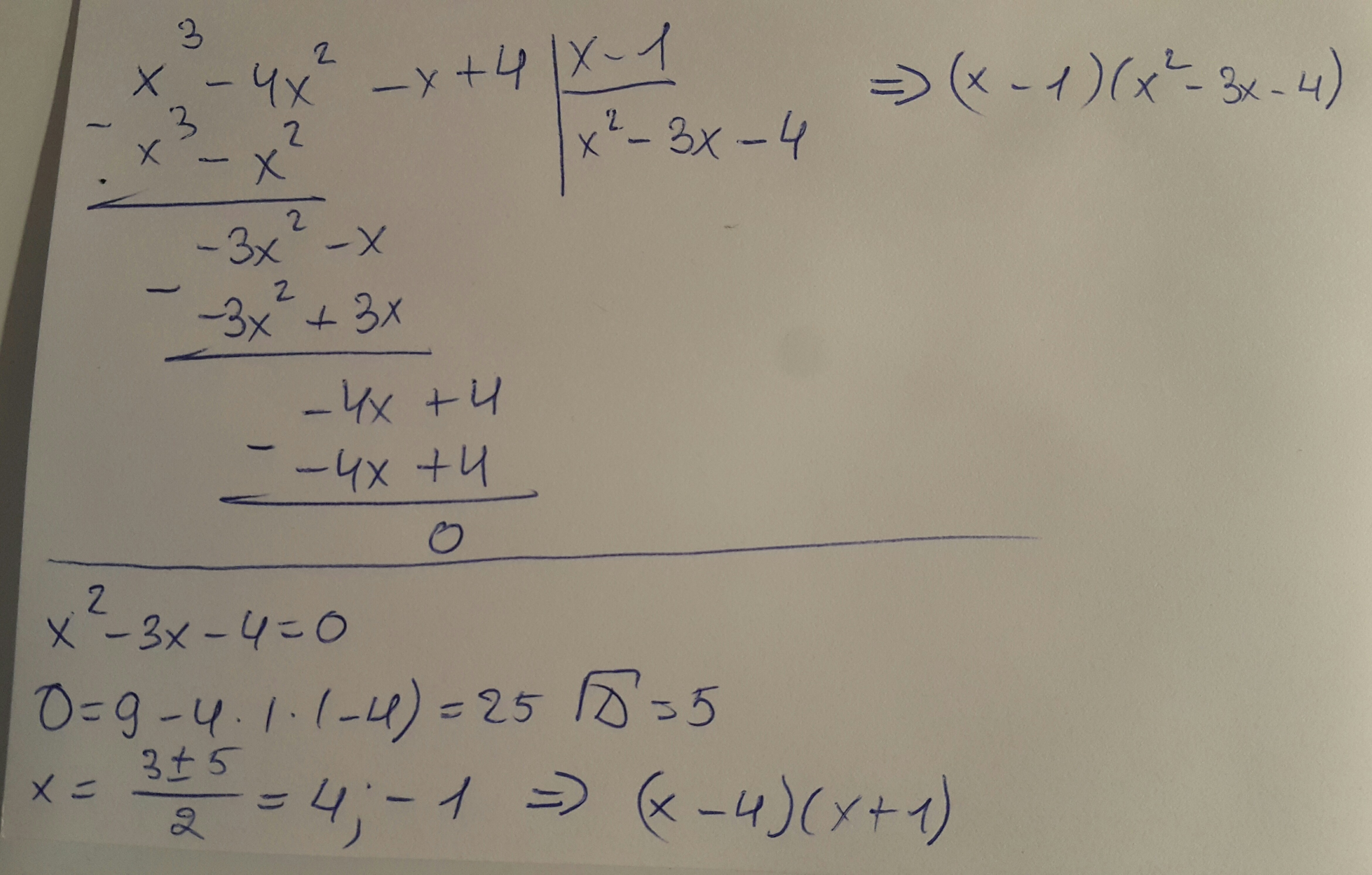
Разложение на множители x^3-4x^2-x+4
Ответы
Автор ответа:
2
(X-1)(X-4)(X+1)
Корень x=1 находится подбором
Дальше делишь многочлен на x-1
Получаешь квадратное уравнение, которое легко решить
Корень x=1 находится подбором
Дальше делишь многочлен на x-1
Получаешь квадратное уравнение, которое легко решить
Автор ответа:
1
Есть такая вещица - схема Горнера. Не буду вдаваться в подробности: по этой схеме нужно делить многочлен, просто перебирая делители. Например, разделим x^3-4x^2-x+4 на х-1. Я разделила (на фото), и у меня все получилось - остатка нет. Значит, этот многочлен можно записать в виде (х-1)(x^2-3x-4). Вторую скобку раскладываем уже с помощью простого дискриминанта и получаем следующее: (х-1)(х-4)(х+1)
Приложения:
Похожие вопросы
Предмет: Математика,
автор: IIIAIAVA
Предмет: Обществознание,
автор: leraaaaw
Предмет: Алгебра,
автор: dshaikemelov
Предмет: Математика,
автор: чомусон
Предмет: Алгебра,
автор: korchaginaangeina