Предмет: Математика, автор: maryohmarymary

Решить седьмое. Помогите, срочно!!

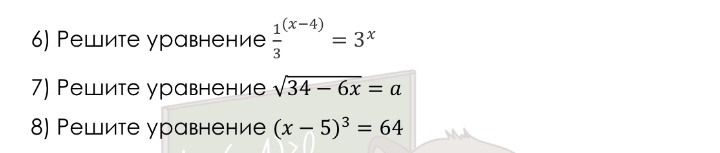
Приложения:

Ответы

Автор ответа: gontsov61
0
34 - 6Х = а2
6Х = 34 - а2
Х = 34 - а2/6, чтобы было понятно
Х = 34 - а в квадрате
        разделить на 6

Похожие вопросы
Предмет: История, автор: sergejlihanov33
Помогите выполнить тест пожалуйста

Задание 1
Вопрос:
Каким одним словом можно назвать всех перечисленных людей: челядь,
дворовые, страдники, тиуны, ключники? (ответ напишите во множественном
числе)
Задание 2
Вопрос:
Какие функции выполняли крестьянские старосты?
Выберите несколько из 4 вариантов ответа:
1) Решали вопрос с местной администрацией
2) Распределяли пахотные земли
3) Контролировали уплату податей
4) Распределяли повинности
Задание 3
Вопрос:
Что из перечисленного было запрещено удельным князьям?
Выберите несколько из 4 вариантов ответа:
1) Чеканка монеты
2) Проведение суда
3) Предоставление льгот монастырям и частным лицам
4) Ведение самостоятельной внешней политики
Задание 4
Вопрос:
Укажите истинность или ложность утверждений о российских крестьянских
семьях.
Укажите истинность или ложность вариантов ответа:
__ Юноши и девушки рано вступали в брак
__ Заготовкой дров на зиму занимались женщины
__ Семьи состояли из двух-трёх человек
__ Холостяков в деревнях не было, так как вести хозяйство в одиночку было
невозможно
__ Физическим трудом занимались только мужчины
Задание 5
Вопрос:
Соотнесите категорию крестьян и их характеристику.
Укажите соответствие для всех 3 вариантов ответа:
1) Черносошные
2) Дворцовые
3) Владельческие
__ Лично свободные, трудились на государство
__ Принадлежали лично государю
__ Проживали на вотчинных и помещичьих землях
Задание 6
Вопрос:
Как в России называли крупных купцов, которые вели торговлю с
иностранными государствами, а также иноземных купцов?
Выберите один из 5 вариантов ответа:
1) Гости
2) Братья
3) Друзья
4) Соседи
5) Хозяева
Задание 7
Вопрос:
Какой город был вторым по численности населения после Москвы?
Выберите один из 5 вариантов ответа:
1) Суздаль
2) Псков
3) Владимир
4) Великий Новгород
5) Ярославль
Задание 8
Вопрос:
Соотнесите представителей верхушки российской знати и их характеристику.
Укажите соответствие для всех 2 вариантов ответа:
1) Удельные князья
2) "Служилые" князья
__ Родственники государя, владеющие собственными княжествами
__ Те, кто перешёл к царю на службу
Предмет: Математика, автор: валя133