Предмет: Математика,
автор: Катерина0912
ПЛИЗ!!! SOS!! РЕШИТЕ!!!!
Приложения:
Ответы
Автор ответа:
0
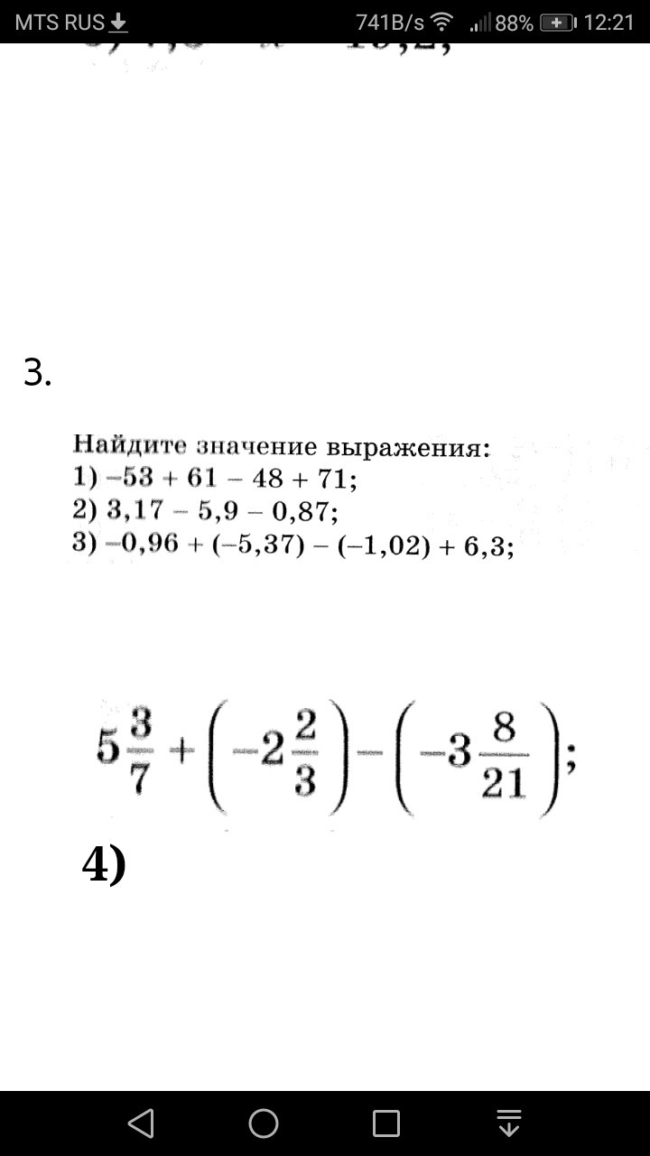
1) -53+61-48+71=-101+132=31
2)3.17-5,9-0,87=3,17-6,77=-3,6
3)-0.96+(-5,37)-(-1.02)+6.3=-0.96-5.37+1.02+6,3=0.99
4)=15/7+(-4/3)-(-8/7)=15/7-4/3+8/7=41/21
2)3.17-5,9-0,87=3,17-6,77=-3,6
3)-0.96+(-5,37)-(-1.02)+6.3=-0.96-5.37+1.02+6,3=0.99
4)=15/7+(-4/3)-(-8/7)=15/7-4/3+8/7=41/21
Похожие вопросы
Предмет: Українська мова,
автор: annafpv
Предмет: Геометрия,
автор: olga4718
Предмет: Математика,
автор: sofiakostanan563
Предмет: История,
автор: catuknyazewa