Предмет: Математика,
автор: эля840
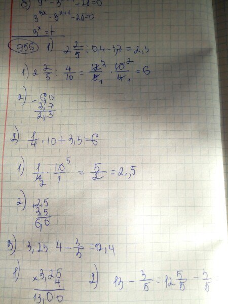
пожалуйста ребята помогите пожалуйста ответы правильно не могу найти
Приложения:
Ответы
Автор ответа:
2
/////////////////////////////////
Приложения:
Похожие вопросы
Предмет: Математика,
автор: annaosipenko757
Предмет: Алгебра,
автор: LizoOochkaa
Предмет: Астрономия,
автор: lestrangee
Предмет: Математика,
автор: фираддин
Предмет: Математика,
автор: taticyan7071